添加链接
link之家
链接快照平台
  • 输入网页链接,自动生成快照
  • 标签化管理网页链接
首发于 迁移学习
Deep Domain Adaptation论文集(一):基于label迁移知识

Deep Domain Adaptation论文集(一):基于label迁移知识

本系列简单梳理一下《Deep Visual Domain Adaptation: A Survey》这篇综述文章的内容,囊括了现在用深度网络做领域自适应DA(Domain Adaptation)的各个方面的一些文章。

原文链接: Deep Visual Domain Adaptation: A Survey


Class Criterion

类别准则:使用标签信息作为指导在不同领域之间迁移知识

Hinton 2015年的工作,distilling knowledge是一个实用的trick,使用软标签soft label替代硬标签hard label将不同类别之间的关系保存。这种关系可以从源域迁移到目标域。

图片来自如何理解soft target这一做法? - YJango的回答 - 知乎https://www.zhihu.com/question/50519680/answer/136406661

源域有label,目标域有少量label。在普通的domain adaptation分类器与域判别器的基础上,再加一个soft label判别器,迁移源域中类别的关系信息。通过源域训练的分类器,对源域数据进行分类,得到不同类别之间的关系(比如一共三个类别,瓶子、水杯、键盘,那么如果水杯的概率是0.6,瓶子可能是0.3,键盘是0.1,由此看出水杯和瓶子联系更紧密)。所以对于目标域中的标签是水杯的数据,我们希望训练出来的 {水杯,瓶子,键盘} = {0.6, 0.3, 0.1} 而不是one-hot的 {1, 0, 0} ,这样视为将label之间的关系也进行了迁移,可以通过这些少数的目标域label对网络进行fine-tune。

源域有label,目标域有少量label。在上篇文章的基础上,将soft label判别器加入细粒度识别任务。细粒度识别就是比较精细的图像识别,比如识别的是不同品种的狗,不同牌子的汽车等。

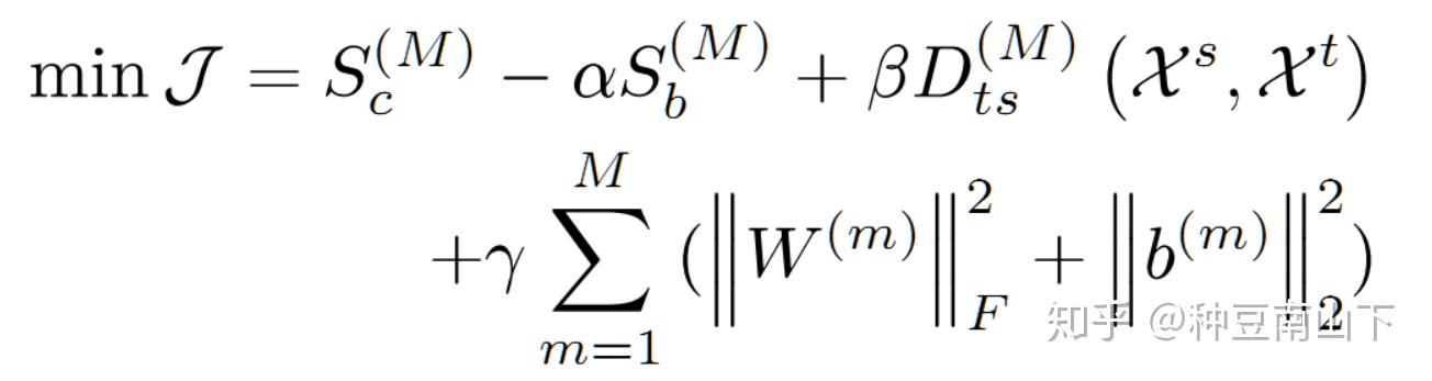
源域有label,目标域无label。结合线性判别分析(LDA)和最大均值差异(MMD),将源域和目标域距离尽量近(MMD约束)的情况下,类内距离最小,类间距离最大(LDA约束)。

源域有label,目标域有少量label。。这篇文章在域判别的时候构造了语义对齐损失(即类内差距)和分离损失(即类间差距),用上了目标域label的信息。一般的DA方法,无法保证在特征空间里,不同domain里相同label的数据特征是一样的。即源域第一类数据特征可能经过映射后和目标域第二类一样。作者还利用了一些技巧,使得即使只有一个目标与域样本的情况下,也能对模型起到改善作用。

源域有label,目标域无label也无数据。使用高层次的语义属性,识别没有见过的label。但是需要人工定义属性层,属于这方面开创性的工作。

提出了weighted MMD模型。源域有label,目标域无label,设计伪标签。考虑源域label的先验分布与目标域的不一样,设置pseudo-label,提出weighted MMD模型。利用CEM(classification EM algorithm)算法进行优化求解。主要的贡献有两个点:

第一,提出weighted MMD模型,将MMD度量改为如下形式:

MMD_w^2(D_s,D_t)=\|\frac{1}{\sum_{i=1}^M\alpha_{y_i^s}}\sum_{i=1}^M\alpha_{y_i^s}\phi(x_i^s)-\frac{1}{N}\sum_{j=1}^N\phi(x_j^t)\|_{\mathcal H}^2\\

其中, \alpha_c=w_c^t/w_c^s, \quad w_c^t=p_t(y^t=c), w_c^s=p_s(y^s=c) 是目标域和源域标签的先验信息,如果先验是一样的,则 \alpha_c=1 ,weighted MMD退化为MMD。

第二, 利用CEM算法进行求解,其实是本质是解一个非凸问题,所以要用类似EM算法的机制。首先E步,通过源域训练CNN求出目标域的后验概率 p(y_j^t=c|x_j^t) 。然后C步,根据后验概率,给目标域打上pseudo-label,然后求出参数 \alpha_c 。最后M步,根据参数 \alpha_c 和源域目标域的数据以及pseudo-label和目标函数,更新网络参数。

源域有label,目标域无label,设计伪标签。设计三个网络, F_1,F_2 用来分类源域和目标域的数据,目标域数据满足一定条件(阈值)才会有pseudo-label伪标签。第三个网络 F_3 用来调整特征提取网络 F ,使得打上的伪标签更可靠,并影响其他未被 F_1,F_2 打上伪标签的目标域数据的标签判别,希望更多的数据满足阈值被打上伪标签。

这篇文章提出了DTN方法。源域有label,目标域无label,设计伪标签。不同之处在于,假设条件分布 P(y^s|x^s)、P(y^t|x^t) 是不一样的。做法是先用一些基础的分类器,在源域上训练好,再给目标域打上pseudo-label伪标签。利用源域和目标域的数据和标签和伪标签,在MMD的准则下,对齐边缘分布 P(x^s)、P(x^t) 和条件分布 P(y^s|x^s)、P(y^t|x^t)

其中边缘分布MMD为:

MMD_{mar}=\|\frac{1}{n_s}\sum_{i=1}^{n_s}h_i^s(l-1)-\frac{1}{n_t}\sum_{j=1}^{n_t}h_j^t(l-1)\|_2^2\\

条件分布MMD为:

MMD_{con}=\sum_{c=1}^{C}\|\frac{1}{n_s}\sum_{i=1}^{n_s}P(y^s=c|x_i^s)-\frac{1}{n_t}\sum_{j=1}^{n_t}P(y^t=c|x_j^t)\\

但是要想计算 MMD_{con} ,则需要知道目标域的label,但是目标域是没有label的,所以刚开始需要一个基础的分类器如SVM、MLPs等给目标域打上pseudo label。然后基于pseudo label对齐条件分布MMD,然后再更新pseudo label,如此往复,直到达到迭代停止条件。

源域有label,目标域无label,设计伪标签。作者假设源域和目标域的条件分布也有差异,也就是特征空间里面同样的一个点 x_f ,可能对应不同的label,和上面的DTN是一样的假设,但是做法不一样。该文章认为条件分布不一样是由一个扰动函数 \Delta f(x) 导致的,但是可以通过两层残差项(residual block)联系起来。

f_S(x)=f_T(x)+\Delta f(x)\\


如有错误,欢迎交流指正。^_^

转载请注明出处!!^_^

知乎:种豆南山下

个人学术主页:

Domain Adaptation系列文章:

种豆南山下: 迁移学习: 领域自适应(Domain Adaptation)的理论分析

种豆南山下: Domain Adaptation:不用深度网络,如何处理源域和目标域异构问题?

种豆南山下: Deep Domain Adaptation论文集(一):基于label迁移知识

种豆南山下: Deep Domain Adaptation论文集(二):基于统计差异

种豆南山下: Deep Domain Adaptation论文集(三):基于深度网络结构差异&几何差异

种豆南山下: Deep Domain Adaptation论文集(四):基于生成对抗网络GAN

种豆南山下: Deep Domain Adaptation论文集(五):基于数据重构的迁移方法

种豆南山下: Deep Domain Adaptation论文集(六):源域与目标域特征空间不一致的处理方法

编辑于 2020-07-16 23:03

文章被以下专栏收录