添加链接
link之家
链接快照平台
  • 输入网页链接,自动生成快照
  • 标签化管理网页链接
汽车制动系统 下篇

汽车制动系统 下篇

六 类型

制动系统有常规制动与辅助制动,常规制动又由行驶制动与驻车制动组成。行车制动系统和驻车制动系统是每一辆汽车都必须具备的。

1.按功用分:行车制动系、驻车制动系、第二制动系(应急制动系统)和辅助制动系

(1)行车制动系——用以使行驶中的汽车降低速度甚至停车的制动系统称为行车制动系统;是由驾驶员用脚来操纵的,故又称脚制动系。它的功用是使正在行驶中的汽车减速或在最短的距离内停车。

1)行车液压制动原理:帕斯卡定律为基础构建的传统液压制动系统

2)轮式车辆全液压动力制动系统设计

摘要:本文建立了4×4轮式车辆全液压制动系统,对主要部件进行选型和匹配设计,试验台架验证了全液压制动系统多次制动的有效性和制动踏板感觉一致性。

-1 4×4轮式车辆全液压制动系统总体方案设计

行车制动的双回路制动系统方案由油箱、液压泵、充液阀、蓄能器、行车制动阀和制动管路等组成。工作过程描述:液压泵输出的液压油通过充液阀向蓄能器供油,蓄能器油压不断上升,当升至充液阀上限压力值时,充液阀停止充油,蓄能器保持这个压力不变,液压泵的出油用于液压系统散热。实施制动的过程就是蓄能器释放能量的过程,此时蓄能器内的液压油压力随之降低。连续踩下制动踏板,当压力降至充液阀下限压力值时,充液阀内的压力补偿开关打开,液压油通过充液阀又开始向蓄能器充油,直至蓄能器再一次达到充液阀充油上限压力。如此反复,蓄能器压力始终保持在充液阀充油的上、下限压力值之间,确保制动的平稳可靠。安全阀的作用是限定最高蓄能压力。在蓄能器制动系统中还设置了一个低压报警开关,当蓄能器压力降至报警开关设定的报警压力值时,报警开关接通警报蜂鸣器或指示灯,发出警报,提示停车检查。该系统为双回路形式,前两桥和后两桥各自并联为一个回路,若其中任何一路的元件出现故障,另一路仍可正常工作,而且当动力源失效时利用蓄能器储存的液压能还可以制动若干次;多个蓄能器之间也是相互保护的,不会因其中一个蓄能器出故障导致其它蓄能器失效,使整车制动更安全可靠。

-2 主要部件设计和匹配计算

-2.1 行车制动器

行车制动器的制动力矩需要满足整车制动安全性的要求,其大小和车辆的轴荷、车轮半径和制动减速度等相关。由于地面制动力是滑动摩擦力的约束反力,在不考虑轴荷转移的情况下,制动器制动力矩M大小近似取值为:

式中, u为地面附着系数,w为车轮载荷,r为车轮的滚动半径。在车轮载荷为2500kg、车轮滚动半径为0.5m、地面附着系数为0.85m时,车轮制动力矩约为10412N.m。行车制动器采用双缸液压盘式制动器,其制动力矩可表示为:

式中,Fb为制动卡钳的夹紧力,μ为摩擦副摩擦系数,Rdis为等效摩擦半径。在行车制动器制动力矩为10412N.m,等效摩擦半径为0.155m,制动器卡钳活塞直径为80mm时,系统的工作压力约为10MPa。

-2.2 双回路制动阀

双回路液压制动阀是一种带踏板直动式串联三通型比例减压阀。减压阀出口的压力变化与通过踏板角度变化或者套筒运动行程变化是一一比例对应的,并且踏板的最大角度变化或者套筒的最大行程限制住制动压力的最大值。当这个串联式制动阀的其中一联制动失效时,剩下的那一联还能正常工作,这样大大增强了行车制动的可靠性。选用双回路制动阀的减压输出稳定压力为10MPa。

-2.3 充液阀

充液阀充液下限须大于满足5次制动后的所需最小制动压力的10%左右,即:下限主要根据制动系统的压力来确定。

-2.4 蓄能器容积

当蓄能器的压力充压到最高时,如果油泵停止工作,踩动制动阀,使蓄能器压力降至制动阀所需的最低压力,踩动踏板的次数应不少于5次。设蓄能器的有效排液量为ΔV,是该蓄能器供油的制动轮缸总排量Vi与后备制动次数5的乘积,考虑到系统泄漏,由下式表示:

式中:ka=1.2一泄漏系数。Vi为前桥轮缸需要的液体总排量,Vi=4·2πr2·2=40.4mL。

-3 全液压制动系统试验验证

操作脚制动阀进行制动,试验时记录各压力和角度的对应变化值,并根据数据采集器收集的制动曲线进行数据分析。

图1 连续多次前后回路压力变化图由测试曲线可以看出:(1)随着制动次数的增加,系统压力从最高压力15MPa逐渐下降,并且始终高于轮缸工作压力;(2)各次制动踏板的受力可能存在较大的差异,但是轮缸稳定压力几乎不变。前者保证多次重复制动的有效性,后者保证了多次制动的制动踏板感觉一致性。

-4 结论

全液压制动系统的制动响应速度和系统阀件的结构和性能相关,关于充液阀和双回路制动阀在流量和压力传递特性,需要进一步深入研究。

(2)驻车制动系(parking brake)——用以使已停驶的汽车驻留原地不动的制动系统则称为驻车制动系统。

过去:机械式驻车制动(鼓式→盘中鼓式DIH→综合盘式制动器IPB)现在:电子式驻车制动(EPB)。其发展历史是从机械式到线控的升级。近年来,在机动车制动系统领域中,电子驻车制动系统(EPB,Electrical Park Brake)由于其在市场应用中的便捷性与舒适性,越来越多的取代了传统的机械集成式驻车制动器(IPB)与盘中鼓式制动器(DIH)。驻车制动的发展历史

驻车制动系的作用

-辅助上坡顺利起步

-车辆停驶后,停在原地防止溜滑

-行车制动系失效后临时起制动作用或配合行车制动系起制动作用。

1)机械式驻车制动(机械手刹)车辆停稳后,采用驻车制动(手刹) 稳定车辆避免溜车。由驾驶员用手来操纵的称手制动系。原理:人力拉动制动器实现驻车制动

传统的机械集成式驻车制动器(IPB)与盘中鼓式制动器(DIH)结构通过手刹机构驱动拉索带动驻车机构,将驻车手刹力转换为制动器压紧到制动盘上的夹紧力。

外观、结构与安装位置



手刹属于辅助制动系统,主要借助人力,一般在停车的时候,为了防止车辆自行溜车而设立的。驻车制动系主要由手刹拉柄、手刹拉线、手刹开关、手刹指示灯、手刹蹄片(有的车共用后刹车片,有的为单独刹车片)等组成。手刹(驻车制动器)主要由制动杆、拉线、制动机构以及回位弹簧组成。是用来锁死传动轴从而使驱动轮锁死的,有些是锁死两只轮。






组成



2)驻车制动系分类

-中央制动式

中央制动器多采用蹄鼓式制动器,它可采用高制动效能的自动增力式制动时制动器,其外廓尺寸小,易调整,防泥沙性能好,停车后没有制动热负荷的影响,故应用较广。

-车轮制动式

3)驻车制动器的分类

传统的驻车制动器鼓式较常见。鼓式驻车制动器分为两种,一种是集成在鼓式行车制动器中的驻车制动,也是车轮制动式。下图是集成在鼓式行车制动器种驻车制动,通过拉线4拉动杠杆1以及顶杆2使得刹车车蹄3张紧。





而另一种是在变速器的后方,传动轴的前方,这种又叫做中央驻车制动器。制动原理大体相似,只是安装部位不同。商用车上运用较多,乘用车已经淘汰这种驻车制动器,其结构与鼓式制动器相似。







现在大多数乘用车都是采用四轮盘式制动,也是车轮制动式,其制动机构机构就集成在后轮的盘式或鼓式制动器上。有一些车的行车制动器和驻车制动器是分开的,因此它有两个刹车卡钳,两个卡钳共用一个制动盘,各自独立的作用。





优缺点:制动机构相对简单,成本低廉。拉起手刹制动时,弹簧被拉长;手刹松开,弹簧回复原长。长期使用手刹时,弹簧也会产生响应变形。手刹拉线也同样会产生相应变形而变长。任何零件在长期频繁使用时,都存在效用降低的现象。

进行驻车制动时,踩下行车制动踏板,向上拉起驻车制动杆。



松开驻车制动,同样踩下制动器踏板,将驻车制动杆向上稍微提起,用拇指按下手柄端的按钮,将驻车制动杆放低到最低的位置。



-后鼓式





-后盘式

-后盘式/鼓式

盘鼓结合驻车制动器:是一项经过反复考验的、高效且具有很高经济性的技术:在后轮盘式制动器的轮毂内,安装了一个由拉索驱动的鼓式制动器。





组合钳



将行车制动和驻车制动功能结合起来

吕制轻量化设计

2)电子驻车制动(电子手刹)

电子手刹其实就是传统手刹的升级,变传统手刹的手拉为电动。

不同的汽车,由于整车参数、结构布置、路面附着系数等不一样,都要进行电子驻车系统(EPB)标定,由于车型的增多,开发周期短,为了缩短汽车开发周期,通过对车辆不同工况受力分析,控制电流大小来满足不同工况所需要的夹紧力,实现车辆减速或驻车制动。



电子驻车制动系统(EPB)工作过程:

1)驾驶员按下EPB开关;

2)EPB控制器接收到指令,控制制动卡钳上的Actuator中的电机,电机通过传动机构推动Spindle;

3)Spindle推动活塞,产生压力,将摩擦片压紧到制动盘上;

4)摩擦片在垂直压力下,和制动盘间产生静摩擦力,保持车辆静止。

电子驻车制动系统

原理:电机驱动制动器实现驻车制动

电子驻车制动系统(EPB)采用了导线进行信号传递,执行机构接受电信号指令来实现自动夹紧和释放功能。一些较为新型的电子驻车系统还能够通过传感器等自动感知和测算当前需要施加,并通过电控部件、电机等增加或减少制动力,从而极大地提高了驾驶员操纵车辆的舒适性。

当驾驶员按动电子驻车制动系统(EPB)按钮时,电子驻车制动系统控制模块接到来自按钮的信号,控制模块会向执行机构的电动机施加电流让其转动。电动机释放的转矩通过减速增扭机构将电机的速度减少、扭矩增大,然后通过输出轴螺纹副或滚珠丝杠副将电动制动单元输出的扭矩转化为直线推力,从而推动制动活塞运动将推力转化为制动块压紧至制动盘上的压力,进而完成实现车辆车速减少或驻车制动。

外观、结构与安装位置


P档

主要有一个锁止齿轮以及一个锁止机构构成(图中的锁销、回位弹簧、下压装置、棘爪弹簧、工作销以及工作销预紧弹簧等)。锁止机构与锁止机构与锁止齿轮结合就可以直接固定与车轮相连的变速箱输出轴,通过半轴便可以锁止车轮。





优缺点:P档驻车结构不算太复杂,但是要正确操作很麻烦。如果使用P档过程种碰上追尾事故,对变速器造成的刚性冲击那将是极具破坏性以及毁灭性的。行车时更加不能挂入P档。



常见的电子手刹有拉索式与卡钳式





优缺点:启动电子手刹可以在车辆任何状况下进行启动,每次起步车轮扭矩达到一定扭矩时会自动释放。电子手刹成本略高。更重要的是,当车蓄电池失灵的时候电子手刹的功能也会同样出现问题。



目前市场EPB制动钳主要采用两种传动方式,一种是螺纹传动,另一种是滚珠丝杆转动;这两种均属于螺旋转动,由螺杆与螺母组成,是通过螺杆和螺母的旋合传递运动和动力的。它主要是将旋转运动变成直线运动,以较小的转矩得到很大的推力。螺纹传动的特点是:结构简单,加工方便;易自锁;螺纹有侧向间隙,反向时有空行程,定位精度和轴向刚度较差;摩擦阻力大,传动效率低;磨损快;滚珠丝杆传动的特点是:摩擦阻力小,传动效率高;结构较复杂,制造工艺要求高,成本较高;运动平稳,启动时无振动;寿命长;不自锁,要求自锁时需附加自锁装置。考虑到成本和自锁,除了大陆采用滚珠丝杆结构外,其他制动器厂均采用螺纹传动结构。目前市场EPB执行机构主要采用两种减速机构,一种是行星齿轮减速机构,另一种是涡轮蜗杆减速机构;考虑到成本和自锁,除了大陆采用涡轮蜗杆减速结构外,其他制动器厂均采用行星齿轮减速结构。执行机构除了采用行星齿轮减速机构,一级传动有采用同步带轮传动结构和齿轮传动结构。执行机构一旦结构确定,其减速比就确定了。通常采用的电机主要有直流有刷电机、直流无刷电机、永磁同步电机。直流有刷电机有机械换向器,寿命有限,体积质量较大,转速较低,但价格低廉;无刷直流电机用电子元器件取代了碳刷,使得电机运行噪声小,寿命长,但增加了位置传感器,成本增加;永磁同步电机与直流无刷电机相比,转矩脉动小,调速范围高,电机结构也更加紧凑,但控制更加复杂。综合比较,选择价格较低的直流有刷电机作为动力电机。目前市场上EPB所使用的主流产品为德昌、马步奇、捷和电机。自动驻车(AUTO HOLD)

是一种在汽车运行中可以实现自动制动的技术应用。在启动自动驻车制动的情况下,这项技术使驾驶者在车辆停下时不需要长时间刹车,并且能够避免车辆不必要的滑行。



-汽车电子驻车制动系统(EPB)驻车力研究

基于电子驻车制动系统(EPB)研究汽车实现不同坡度驻车制动所需要电流大小。通过对车辆驻车制动力、MGU和EPB制动器结构及原理分析计算需要电子驻车制动系统提供多大的电流。下图为电子驻车制动系统(EPB)驱动部件结构图。其包括电动机、减速机构和驻车制动器组成。



EPB驱动部件结构图

-1 整车参数

表1 目标车型的整车参数



-2 极限驻车能力计算

车辆静止在坡道上,根据车辆的参数和驻车制动器的参数,以及路面和轮胎的摩擦系数,对其进行极限驻车能力计算。车轮驻坡受力分析,如图2。图2中:FZ1前轮的正压力;FZ2为后轮的正压力;FU2为后轮地面制动力;θ为车辆所处位置的坡度角;hg为重心高度;G为车辆的重力;L为轴距;φ为地面附着系数;a为重心距前轴的距离。汽车在坡道上驻车情况如图2所示。对前轮与地面接触点取力矩,



图2 车辆驻坡Standing Slope受力分析图Fz2L-Gsin θ·hg=Gcos θ·a (1)得:

(2)又因为汽车后轴车轮附着力Fr与制动力相等

(3)由(2)、(3)上式可得汽车在上坡路上停驻时的坡度倾角θd为:

(4)同上,下坡路上停驻时的坡度倾角θd为:

(5)因此,空载、满载时汽车可能停驻的极限上、下坡倾角见表2。表2 空载、满载时车辆上、下坡极限驻坡倾角



-3 活塞夹紧力计算

根据汽车停驻在20%的坡度上计算:

(4)整理得:

(5)式中,μ——摩擦系数F——夹紧力,[N]保证EPB驻车力不得低于常态目标力和极限目标力。常态目标力:12~16 V的工作电压,-20 ℃~40 ℃的工作温度的条件下,EPB需要保证的驻车力;应用时需要保证常态目标力≥车辆满载30%驻坡所需活塞夹紧力×a(一般a取1.1)。极限目标力:9~16 V的工作电压,-20 ℃~70 ℃的工作温度的条件下,EPB需要保证的驻车力;应用时需要保证常态目标力≥车辆满载20%驻坡所需活塞夹紧力×a(一般a取1.1)。因此,空载、满载时汽车在20%和30%驻坡所需要的夹紧力见表3。表3 空载、满载时在20%和30%驻坡夹紧力



对车辆驻坡力评估一般要求,20%驻坡,最小摩擦系数0.25,根据上表活塞夹紧力≥11.91 kN;30%驻坡,名义摩擦系数0.36,根据上表活塞夹紧力≥12.1 kN。

-4 卡钳输入扭矩计算

主要对螺杆传动研究,螺纹参数如下:

表4 螺纹传动threaded transmission的螺纹参数



对螺纹进行受力分析。





图3 螺纹受力分析图螺纹力矩计算:

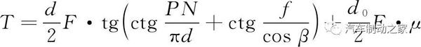
(6)令f′=f/cos β称当量摩擦系数。与当量摩擦系数对应的摩擦角称为当量摩擦角,用ρv表示。螺纹升角计算:φ=ctg(s/πd)=ctg(PN/πd)(7)将(7)代入(6)式可得螺纹力矩计算为:

(8)式中,T1——螺纹力矩[Nm]F——夹紧力,[N]φ——螺纹升角,[°]推力轴承力矩

(9)式中,T2——推力轴承力矩[Nm]d0——推力轴承滚针中经 [mm](滚针的中心位置,取22.6 mm)μ——为推力轴承摩擦系数(带保持架滚针轴承:0.0020~0.0030,取0.0025)由(8)、(9)上式可得EPB制动钳输入力矩T为:

(10)因此,空载、满载时汽车在20%和30%驻坡所需要的执行机构输入力矩见表5。表5 空载、满载时在20%和30%驻坡ramp卡钳Caliper 输入力矩



-5 电机输出扭矩计算

该执行机构参数见表6。

表6 执行机构Actuator 参数



该执行机构是一级采用同步带传动机构,二、三级采用行星齿轮减速机构,总减速比是125∶1,经过试验验证,执行机构的传动效率为77.8%。因此,空载、满载时汽车在20%和30%驻坡所需要电机输出力矩见表7。表7 空载GCW、满载GVW时在20%和30%驻坡ramp电机输出力矩



电机输入电流计算根据EPB系统对夹紧时间、释放时间、以及夹紧力的等要求,电机必须满足如下要求,见表8。

表8 电机选型要求



现选择一款满足要求的电机,型号为:RS-555VX-5524,电机在额定电压为12.0 V,室温( 25 ℃)情况下,其参数见表9。表9 电机特性参数



空载转速(N0)—指电机不受任何机械阻力或负载时的电压,在轴枝上测得的速度;空载载电流(I0)—指在电机无任何负载的情况下测得的电流量;堵转转矩(Ts)—指因加载引致电机停止旋转时测得的转矩;堵转电流(Is)—指在电机因过载而停止旋转时测得的电流量。该电机允许工作温度范围在-40 ℃~85 ℃,在不同提交条件下的电机的性能计算:无负荷转速:

(11)堵转电流:

(12)堵转扭矩:

(13)负荷电流:

(14)负荷扭矩:

(15)负荷转速:

(16)根据摩擦材料最小摩擦系数μmin0.25,驻坡坡度为20%的所需要的夹紧力进行举例计算,在使用电压:9.0 V~16.0 V;温度:-40 ℃~+85 ℃条件所需要的电流大小;在20%坡道上扭力为124.24 mNm下的电流见表10。表10 在20%坡道上驻坡不同温度、电压下所需电流



-6 EPB制动钳温度相关功能试验

实验在EPB综合性能试验台,如图4所示。参照EPB温度相关功能试验方法,EPB卡钳达到11.91 kN目标夹紧力,进行夹紧释放动作,首先在常温下动作500次循环;将EPB卡钳放到温度箱,达到各温度后,保温2小时,然后进行动作,实时采集电流和夹紧力;记录目标夹紧力下的电流,测试数据见表11。



图4 EPB综合性能试验台表11 在不同温度、电压下所需电流



-7 结论

(1) 由于电机、执行机构在低温下空转电流增大导致电流偏大外,其他温度理论和实际检测数据是吻合的。(2) 对集成式EPB传动机构、执行器、电机特性进行计算,为车辆驻坡与电流关系奠定了理论基础。(3) 在EPB标定时,可以根据理论计算的最大电流设定截止电流。

3)第二制动系—— 在行车制动系统失效的情况下,保证汽车仍能实现减速或停车的的一套装置(制动系统)称为应急制动系统。在许多国家的制动法规中规定,第二制动系也是汽车必须具备的。

4)辅助制动系(auxiliary brake)——在行车过程中,辅助行车制动系统降低车速或保持车速稳定,但不能将车辆紧急制停的制动系统称为辅助制动系统;经常在山区行驶的汽车以及某些特殊用途的汽车,为了提高行车的安全性和减轻行车制动系性能的衰退及制动器的磨损,用以在下坡时稳定车速。

辅助系统有很多,除了传统汽车上已经有的制动防抱死系统(ABS)、车身稳定系统(ESP)、自动紧急制动(AEB)、EBD、ASR、牵引力控制系统(TCS),还有新能源以及智能驾驶汽车上的制动能量回收系统(RBS)、自适应巡航(ACC)等等。

-电涡流缓速制动

是客车辅助制动的重要方式,利用发电机反向电流原理,施加反向电压,产生强大的非接触式制动效能,是目前较为理想的高速减速“制动”方式。



-发动机排气制动

排气缓速式辅助制动系的基本工作原理是利用设置在排气通道内的排气节流阀阻塞发动机排气通道,以增加发动机内进气、排气、压缩等行程的功率损失,迫使发动机降低转速,从而达到在短时间内降低车速的目的。

-紧急制动辅助系统 (EBA)

刹车辅助系统包括:电子制动辅助系统“EBA”和制动力辅助系统“BA”(也称为“BAS”),是指监控驾驶员的刹车动作:踩刹车踏板的力量和速度,在紧急时刻辅助驾驶员对车辆施加更大的制动力增加刹车力度,从而缩短刹车距离,确保车辆安全。

  • EBA(Electronic Brake Assist ) :据作用于刹车踏板的速度和力量,系统可以判断出该刹车属于哪一类的制动。当判断为紧急刹车时,即使驾驶员踩刹车的力量很弱,系统也能通过自动控制发生出强大的制动力。
  • BAS(Brake Assist System):可从驾驶员踩制动踏板的速度中探测到车辆行驶中遇到的情况,当驾驶员在紧急情况下迅速踩制动踏板,但踩踏力又不足时,系统产生协助,并在不到1秒的时间内把制动力增至最大,缩短在紧急制动的情况下的刹车距离。

一旦传感器检测到松油门踩制动的时间、踩制动的速度和力度都符合要求时,感应到踩刹车压力突然加大,而驾驶员还再继续深踩时,发现驾驶员进行紧急制动时,ECU会马上启动紧急制动措施,在紧急的时刻辅助驾驶员对车辆瞬间自动施加更大的制动力,在短短几毫秒之内把制动力全部发挥出来,这比驾驶员把制动踏板踩到底的时间要快得多。从而缩短刹车距离,确保车辆安全,以防止因为司机制动力不足而发生险情。





调查显示,大多数的驾驶员无法在在突发情况中及时把汽车刹停,转危为安,在紧急事件时,对需要施加比较大的制动力没有准备(就是踩死刹车),或者反应得太晚。老司机也不一定做到。尤其是开车时间长了,就喜欢用更放松的姿势开,在坐姿不对的时候,脚踩刹车的力度往往不足,导致制动力度不足;而新手开车,在驾驶经验不算丰富的时候,出现突发情况往往会手忙脚乱,甚至会出现油门当刹车的窘况;此外,对于像老人或女性这种脚踝及腿部力量不是很足的驾驶者来说,较难及时施加较大的制动力。

1-2米的距离往往就能避免悲剧的发生,如果汽车能知悉你要紧急制动,在刹车力度上给你加把劲,那该多好!汽车有这么智能吗?

这个功能的出现正是帮助驾驶员在紧急情况下能够有效的将制动力定在最大限度。EBA的响应速度会远远快于驾驶者,其速度要比大多数人移动脚的速度快得多,从而缩短刹车距离减少碰撞的可能性或者降低碰撞损失,有利增强安全性。这个功能现在通常为标配出现在各个汽车上。

作用

1、用以在踩刹车的情况下,防止车轮锁死。

2、于汽车制动时产生轴荷转移的不同,自动调节前,后轴的制动力分配比例,提高制动效能。

3、判断驾驶者刹车动作,在紧急刹车时增加刹车力,缩短刹车距离。

4、当汽车出现车轮打滑,侧倾或者轮胎丧失附着力的瞬间,在降低发动机转速的同时,有目的地针对个别车轮进行制动控制,并最终将车引入正常的行驶轨道,从而避免车辆因失控而造成的危险。

5、通过控制驱动力的大小,来减小驱动轮轮胎的滑转率,防止磕碰,让车趋于稳定。

由于紧急制动辅助系统是瞬间把制动力全部发挥出来,与ABS配合使用可以使到尽快达到路面的峰值附着系数,所以厂家介绍制动技术时一般会以“ABS+EBD+EBA”这样的形式捆绑出现。这几种配置组合可以显著缩短有效制动距离,对堵车的追尾事故也有很好的预防作用。



-ABS防抱死制动系统

它是一种具有防滑、防锁死等优点的汽车安全控制系统,已广泛运用于汽车上。ABS主要由ECU控制单元、车轮转速传感器、制动压力调节装置和制动控制电路等组成部分。



行车电控制动原理:融入电子控制的液压制动系统

ABS 3D动画演示工作过程



-车身电子稳定系统ESP

液压制动系统的电子控制传统液压系统中,只有液压控制单元涉及电子控制,例如车身电子稳定系统ESP液压控制单元(ESP系统同时具备防抱死和车身稳定功能)。ESP主要由控制总成及转向传感器(监测方向盘的转向角)、车轮传感器(监测各个车轮的速度转动)、侧滑传感器(监测车体绕纵轴线转动的状态)、横向加速度传感器(监测汽车转弯时的离心力)等组成。




-电子制动系统EBS在新能源商用车上的应用

EBS区别于EPB (Electrical Park Brake),切勿理解错。

1 前言

EBS称为电子制动系统,是Electronic Controlled Brake system的英文缩写。电子制动系统是将防抱死制动系统、自动驱动力控制系统、自动稳定调节系统等制动系统集成为一体,对比常规制动系统,EBS采用电控气制动,能有效地解决常规制动响应时间慢,制动舒适性差等缺点。EBS具有ABS系统和其他附加功能外,还有制动管理的功能。当EBS电控回路失效的情况下,EBS的气压控制回路作备用控制回路工作,保证制动系统的制动性能,EBS制动管理系统不仅提高了行驶的舒适性和安全性。而且EBS还提高了车辆运行效率。



2 EBS在新能源商用车上的应用

以某司某型纯电动牵引汽车为例,讲述EBS系统在新能源商用车上的应用优点和布置方式,以及EBS工作原理和具体功能。

2.1 EBS在新能源商用车上的应用功能和优点

EBS系统不仅仅为了满足ECE R13,GB12676和GB13 -594的法规要求,更重要的是为了提供更好的安全性以及给客户最大的利益,新能源汽车匹配EBS具有以下功能:

(1)主挂车制动一致性控制功能

主挂车制动一致性控制功能可以合理地分配主车和挂车的制动力,使主挂车制动保持一致,提高了新能源汽车制动时的安全性。

(2)具备制动辅助的功能

在驾驶员快速踩制动踏板时,EBS系统可以准确的预判出驾驶员需要紧急制动,制动辅助功能将控制相应的作动元件输出最大制动压力进行全制动,提高了制动踏板的使用舒适性。

(3)具有辅助制动系统的自动控制功能

当驾驶员踩制动踏板时,系统可以通过启用缓速器来满足驾驶员的制动需求。减少了车辆用气,延长了摩擦片、制动盘或制动鼓等部件的使用寿命,增加了车辆的安全性。

(4)具备制动蹄片磨损控制的功能

在制动过程中,EBS可以通过不同车桥间制动压力的调节来实现摩擦片的均衡磨损,车辆的所有摩擦片可同时更换。

(5)具备坡道起步功能

此功能针对的是自动变速箱配置的新能源汽车,坡道起步控制通过阻止车辆在坡道上的倒滑来保证驾驶员在坡道上舒适地启动车辆,EBS系统将控制车辆在坡道上所需的制动压力。

(6)具备制动力分配控制

车辆行驶加速过程中,根据驾驶员的制动需求,空载或者满载状态下,直接控制前后桥输出相应的制动力。

(7)具备减度控制功能

驾驶员可通过控制制动踏板行程的大小,输出相应的减速度。

新能源商用汽车配备EBS制动装置主要有较缩短制动相应时间,提高车辆制动时反应速度,减少了制动距离,降低了生产及安装成本等优点,还具有全程的制动系统监测的功能,系统零部件标准化和高度集成化,综合提高了新能源车辆的经济性。

2.2 EBS在新能源汽车上布置

EBS在整车布置上,通常雷达布置在车架前部专用固定支架上、摄像头在驾驶室前中部或顶部,两者前方不能有遮挡;且前方无遮挡;转角传感器安装在驾驶室方向盘下方的方向柱内。



图1 前桥模块



图2 前桥模块布置于车架横梁上

制动总模块及前、后桥EBS控制模块布置在各桥附近的车架或车架横梁上即可。横摆角度传感器布置于车架中部。其中制动总模块布置于车架左纵梁内侧,靠近中桥附近。前桥模块布置于车架第二横梁中间使用专用固定支架固定。后桥模块布置于车架左纵梁内侧靠近后桥附近使用专用支架固定,制动模块竖直装配与专用支架上,支架固定牢靠。



图3 后桥模块




图4 后桥模块布置于车架左纵梁内侧

3 结论

从新能源商用车制动安全系统的发展趋势看,EBS将是未来新能源商用车市场的主配置,目前国内新能源商用车主机厂陆续选用EBS系统,EBS将借助可缩短制动响应时间进而减少制动距离这一大优势,将是未来新能源商用车市场的标准配置。

(2)按制动能量传输方式分:机械式、液压式、气压式、电磁式、组合式。

按制动能量(操纵能源)的传输方式分类

制动系统可分为机械式、液压式、气压式、电磁式等。同时采用两种以上传能方式的制动系称为组合式制动系统。

气压制动系统

1)定义

气压制动系统装置是用压缩空气做动力源,使车轮产生制动,驾驶员只需按不同的制动强度要求,控制踏板的行程,释放出不同数量的压缩空气,便可控制制动气压的大小来获得所需要的制动力。

气压制动装置的特点使踏板行程较短,操作比较轻便,制动力较大,消耗发动机的动力,装置结构较为复杂,制动时不如液压制动柔和和平稳。气压制动目前应用于中、重型汽车上。

2)分类

-单管路气压制动传动装置

-双管路气压制动传动装置

3)组成



-空气压缩机(air compressor)

空气冷却往复活塞式气体压缩机

风冷单缸式

风冷双缸式









-控制阀体

卸荷阀/调压阀(regulating valve)/双回路压力保护阀/快放阀/继动阀




















-制动气室(brake chamber)

将输入的空气压力转变为制动凸轮的机械力,使车轮制动器产生摩擦力矩。





(3)按管路布置回路多少分:单回路制动系、双回路制动系。

(4)按能源分:人力制动系、动力制动系、伺服制动系。

1)人力制动系——以驾驶员的肌体作为唯一的制动能源的制动系。

2)动力制动系——完全靠由发动机的动力转化而成的气压或液压形式的势能进行制动的制动系。

3)伺服制动系(助力制动系统)——兼用人力和发动机动力进行制动的制动系。

(5)按制动方式分:摩擦制动、电磁制动、发动机制动

七 原理

1.液压制动理论

(1)杠杆原理

(2)液压原理



(3)液体的不可压缩性/-帕斯卡定律

2.制动的基础理论

(1)汽车制动过程中车轮受力及运动分析





Fx=fxFz Fy=fyFz

Fx:沿X轴方向的分力,称为地面制动力,又称纵向力

Fy:沿Y轴方向的分力,称为侧向力,或称横向力

Fz:沿Z轴方向的分力,称为法向反作用力或地面法向发力

fx:称为制动力系数

fy:称为侧向力系数

V:车速 rω:车轮切向速度,简称轮速

ω:车轮旋转角速度

Mj:惯性力矩

Mµ:制动阻力矩(摩擦力矩)

W:车轮法向载荷

T:车轴对车轮的推力

r:车轮半径

(2)制动力来源



1.制动踏板 2.推杆 3.主缸活塞 4.制动主缸 5.油管 6.制动轮缸 7.轮缸活塞 8.制动鼓 9.摩擦片 10.制动蹄 11.制动底板 12.支承销 13.制动蹄回位弹簧



摩擦:两个相对运动物体接触面相互互动产生的运动助力

一般情况下,汽车在制动过程中存在两种阻力:

1)制动器制动力

一种阻力是制动器摩擦片与制动盘或制动蹄与制动鼓之间产生的摩擦阻力,这种阻力称为制动系统的阻力,由于它提供制动时的制动力,因此也称为制动器制动力Fµ;制动器摩擦片与制动盘或制动蹄与制动鼓压紧时形成的摩擦力矩Mµ通过车轮作用于地面的切向力--Fµ;制动器制动力Fµ是为克服制动器摩擦力矩而在轮胎周缘所需施加的切向力。它等于把汽车架离地面,啃住制动踏板后,在轮胎周缘切线方向推动车轮直至它能转动所需施加的力。制动器制动力仅却决于制动器的摩擦力矩,与制动踏板力成正比。



制动器摩擦材料:石棉、非金属:合成纤维、全金属:粉末金属。

2)地面制动力

还有一种阻力是轮胎与道路之间产生的摩擦阻力,也称为轮胎-道路附着力。

汽车制动时,使汽车从一定的速度制动到较小的车速或直至停车的外力由地面和空气提供。由于空气阻力相对较小,所以实际上外力是由地面提供的,称之为地面制动力。地面制动力越大,制动减速越大,制动距离越小。

制动时地面对车轮的切向反作用力--Fx

地面制动力Fx(Fxb)是使汽车制动而减速或停车的外力(真正给车辆提供减速度的外力),它的产生源于制动力矩Tμ(促进地面制动力Fxb产生的内力),制动器制动力矩Tμ来源于轮缸液压力推动摩擦片压紧制动盘时的摩擦力。地面制动力的大小因而取决于制动器内制动摩擦片与制动鼓(盘)间的摩擦力及轮胎与地面的摩擦力(附着力),可以通过制动踏板力来等效控制制动器制动力。



制动力决定因数:正压力/摩擦系数/摩擦面的表面积和数量/附着力/散热/地面附着系数和滑移率的原理



(2)汽车制动时的附着条件

地面制动力只能小于或等于附着力:


(1-1)

附着力-地面对轮胎切向反作用力的极限值

,附着力取决于轮胎与地面之间的摩擦作用及路面的抗剪强度。

附着力正比于地面对车轮的法向反作用力Fz以及车轮与地面之间的附着系数,即


(1-2)

在地面对车轮的法向反作用力Fz一定的情况下,附着力的大小取决于附着系数。附着系数的大小与路面和轮胎的性质有关,还与车轮的滑移率有关。

1)结论推导

首先对车轮进行基本的受力分析,如下图



制动器制动力矩Tμ导致轮胎挤压变形,对地面产生一个向前的摩擦力,而地面就对车轮产生一个向后的反作用力,这个力就是地面制动力Fxb。所以可以看出,制动器制动力矩Tμ是地面制动力的来源。(驱动时的受力情况刚好相反)

当地面附着足够时,地面制动力Fxb有

Fxb = Tμ / r从上式看出,制动器制动力矩越大,地面制动力就越大。但这显然是不成立的,这里忘记考虑了摩擦限制。地面制动力Fxb虽然是因制动器制动力矩产生的反作用力,但其本质是一个摩擦力,逃脱不了摩擦力的局限性(不能无限增大),即Fxb = μ * Wμ为摩擦系数(也叫路面附着系数,一般把某路面下的最大附着率叫做路面附着系数),W为车轮载荷,所以载荷一定时,路面附着系数直接决定了地面制动力的上限。下图为不同路面的附着情况。

车轮是如何抱死的?假如路面附着较小时,猛踩刹车Tμ会非常大,这时由于Fxb受到μ*W的约束,导致Fxb<Tμ/r。对车轮进行运动分析有Fxb * r – Tμ = I * dw/dt所以车轮会一直减速至0达到稳态平衡,即车轮迅速抱死。以上可以说明,制动器制动力矩Tμ是地面制动力的来源,但路面附着系数μ直接决定了地面制动力的上限。2)路面附着系数估算

附着率,即轮胎纵向力与垂直载荷的比值,随着滑移率的增大,先增大后减小,如下图(μ-s曲线)所示。一般把某路面下的最大附着率叫做路面附着系数,对应的滑移率在15%左右。

所以,路面附着系数的估计就是最大的附着率的估计。工程上有两种常见的基于μ-s曲线的路面附着系数估计方法:小滑移率范围斜率预估法、大滑移率范围零斜率法。①小滑移率范围斜率预估法

在小滑移范围(0-10%),不同路面附着下的μ-s曲线斜率不同。如果能通过数据拟合出小滑移范围的斜率,即可近似估计出路面附着系数。

②大滑移率范围零斜率法

在大滑移范围(0-20%以上),附着率先增大后减小,所以最大附着率必然对应着零斜率处。如果能实时计算dμ/ds,则dμ/ds接近0附近的附着率即为路面附着系数。

以上两种方法均利用了μ-s曲线的相关特性,前者需要较多的数据拟合,但可以做到提前估计,后者只有在大滑移后才能估计,但估计精度更高。需要说明的是,不管用上面还是其他的路面附着系数方法,都需要尽量准确地计算滑移率、附着率,也就是轮速、车速、地面制动力等等,这些信号的采集或者估计精度对路面附着系数的估计有着更为重要的影响。下面简单介绍下大滑移率范围零斜率法的实现效果。搭建一个包含轮胎模型的车辆模型和一个利用车速、轮速、滑移率的估计算法,如下图。

车辆模型利用Simulink自带的模块构建。估计算法主要是将matlab的滑移率转化为汽车理论中的滑移率,以及根据纵向加速度计算地面力从而得到附着率,再利用滑移率、附着率计算μ-s曲线斜率k。这里进行两组不同路面的工况仿真,观察估计效果。工况1:路面附着系数为0.5,电机驱动力逐渐增大,如下图所示。



仿真结果如下:



可以看出,车速逐渐增大,驱动轮转速快速飙升出现滑转,驱动轮滑移率也随之逐渐增大,最终接近于1,车轮附着率先增大至0.5附近,后逐渐减小。我们最为关注的μ-s曲线斜率k在首次接近0附近时也刚好对应着最大附着率0.5。工况2:路面附着系数为0.8,电机驱动力依然按同样趋势逐渐增大。仿真结果如下:



同样地,车速逐渐增大,驱动轮转速快速飙升出现滑转,驱动轮滑移率也随之逐渐增大,最终接近于1,车轮附着率先增大至0.8附近,后逐渐减小。我们最为关注的μ-s曲线斜率k在首次接近0附近时也刚好对应着最大附着率0.8。以上,介绍了大滑移率范围零斜率法的路面附着估计方法,并通过仿真进行了验证,基本符合预期,可以作为路面附着估计的一个参考。但是,在实车的操作中,轮速信号的采集延迟及噪声、车速的实时估计误差、地面实际驱动力(制动力)的计算偏差等等,都会对路面附着的估计产生影响,需要根据实车的具体情况做进一步处理。

(3)地面制动力Fx、制动器制动力Fµ及附着力Fø的关系





1)汽车制动时,根据制动强度的不同,车轮的运动可简单地考虑为减速滚动和抱死拖滑动两种状态。



①地面制动力Fxb˂附着力Fø时, Fxb=Fµ(制动器力)

②地面制动力Fxb的最大值不能超过附着力Fø,Fxb≤Fø

车轮作减速滚动:Fxb=Fu≤Fø=Fzø

③地面制动力Fxb的>(超过)附着力Fø时,车轮抱死

车轮抱死滑拖:当制动踏板力或制动系压力上升到某一极限值时,地面制动力达到地面附着力,车轮即抱死不转动而出现拖滑现象。由于制动器摩擦力矩的增长而仍按线性继续增大。若要增大地面制动力,此时只能通过提高附着系数来实现。

2)车辆制动距离和制动减速度是由车辆制动力即地面制动力所决定的,取决于地面制动力、制动器制动力及附着力。

3)车辆的制动力取决于制动器的摩擦力(制动器制动力),还受到地面附着系数(附着力)的制约。若需增大Fx(Fxb),必须增大Fø,Fø取决于附着系数ø(µ),ø又受滑移率s的影响。如果制动器制动力小于轮胎-道路附着力,则汽车制动时会保持稳定状态,反之,如果制动器制动力大于轮胎-道路附着力,即制动器产生的制动力突破轮胎与地面摩擦力的极值(附着力)时,则汽车制动时会出现车轮抱死和滑移,因此,为了消除车轮抱死倾向,首要考虑的就是将制动轮缸内的液压力降低。

如果后轮抱死,汽车的制动稳定性变差,在很小的侧向干扰力下,汽车就会发生甩尾,甚至调头等危险现象。尤其是在某些恶劣路况下,诸如路面湿滑或有冰雪,车轮抱死将难以保证汽车的行车安全。

如果前轮抱死,汽车基本上沿直线向前行驶,汽车处于稳定状态,但汽车失去转向控制能力,这样驾驶员制动过程中躲避障碍物、行人以及在弯道上所应采取的必要的转向操纵控制等就无法实现。另外,由于制动时车轮抱死,从而导致局部急剧摩擦,将会大大降低轮胎的使用寿命。

(4)运动状态与附着系数的关系

汽车制动过程中,胎面留在地面上的印痕从车轮滚动抱死拖滑是一个渐变的过程,即纯滚动、边滚边滑、完全拖滑。

第一阶段:纯滚动,路面印痕与胎面花纹基本一致,车速V=轮速Vω



第二阶段:边滚边滑,路面印痕可以辨认出轮胎花纹,但花纹逐渐模糊,车速V>轮速Vω



第三阶段:抱死拖滑,路面印痕粗黑,车速V≥轮速Vω=0






1)车轮滑移率

描述制动过程中轮胎滑移成份的多少;

它的数值代表了车轮成份所占的比例,滑动率越大,滑动成份越多

公式:



当轮胎发出牵引力或制动力时,在轮胎与地面之间都会发生相对运动。汽车滑移率的定义是:表示制动过程中车轮滑移程度的,通俗一点来讲就是:滑移率就是来评价汽车在刹车过程中,车轮在边滑边滚,其中车轮在地上滑移的距离的占比。滑移率是在车轮运动中滑动成分所占的比例,用S表示。滑移率s的表达式为:



式中v-车速(m/s)v-车轮速度(m/s)r-车轮半径(m)ω-车轮转动角速度(rad/s)

滑移率也是指车速与车轮速度的差值与车速之比。车轮发生滑动现象。



λ=(v-ωR)/vX100%式中:λ为车轮滑移率;v为车速;ω为车轮角速度;R为轮胎滚动半径。

车轮在路面上纯滚动时,车轮实际行驶速度与车轮滚动的圆周速度相等,即v=vω,制动滑移率s=0;车轮完全抱死时(即在路面上纯滑移(纯滑动)),车轮的圆周速度vω=0,车轮滑移率s=100%;车轮在路面上边滚动边滑移时,v>vω,车轮滑移率0<s<100%。可见制动滑移率描述了制动过程中车轮滑移的程度,滑移率值越大,表明滑移严重。车轮滑移率越大,说明车轮运动中滑动成分所占比例越大,表明滑移严重。汽车制动时,在路面附着系数以及作用于车轮上的垂直载荷一定的情况下,车轮制动器的制动力矩越大,车轮的滑移率将越大。

目前已知的研究表明,车轮的滑移率应该控制在10%-30%范围内,才能够以最快的时间,最短的距离把车给刹停。



以上讨论的是汽车在直线路面上行驶的情形。当汽车转向或行驶在弯曲的道路上时,由于惯性等因数的作用,车轮受到侧向力的作用。此时车轮的滚动方向与汽车的行驶方向不一致,两者之间的夹角称为侧偏角。有侧偏角时的车轮滑移率定义如下:



2)纵向附着系数为øb,地面制动力与垂直载荷之比;侧向附着系数为øl,侧向力与垂直载荷之比。在B点øb取最大值øp,一般出现在s=15%~20%时。



附着系数的数值主要取决于道路的材料、路面的状况与轮胎结构、胎面花纹、材料以及汽车运动的速度等因数。在制动过程中,还与轮胎在路面上的运动状态有关,即滑移率有关。



(5)制动力系数与滑移率的关系

1)制动时轮胎与路面之间的制动力系数与滑移率有着密切的关系,这种函数关系通常用滑移率-制动力系数特性曲线来描述。



2)路面对制动力系数特性曲线的影响



3)制动力系数特性曲线与车速的关系



(6)侧向力系数与滑移率、侧偏角的关系

1)侧向力系数特性曲线

由图可知,当侧偏角不超过5°时,侧向力附着系数随着侧偏角的增大近似线性地增大;当侧偏角范围达到5°~10°时,侧向力系数继续增大并达到最大值;当侧偏角再增大时,侧向力系数反而有所下降。



2)不同侧偏角时侧向力系数随滑移率变化的曲线



3)不同滑移率时侧向力系数随侧偏角变化的曲线



(7)附着系数与滑移率的关系

1)(地面与车轮的)附着系数与滑移率的关系



2)滑移率与车轮横向和纵向附着系数关系

实际制动时道路作用于车轮上的纵向附着力Føx就等于汽车的制动力。道路给予汽车转向轮的横向附着力Føy就是使汽车转向的侧向力。



车轮与地面之间的横向和纵向附着系数会随着车轮滑移率的变化而变化,如

图3-1



图3-1滑移率与车轮纵向和横向附着系数关系

开始时随着滑移率的增大,纵向附着系数迅速增大,当滑移率达到约20%时,纵向附着系数达到最大值。当滑移率达到100%,即车轮完全被抱死滑移时,其附着系数称为滑动附着系数。当滑移率为0时,横向附着系数最大,随着滑移率的增大,横向附着系数逐渐减小,当滑移率达到100%时,横向附着系数接近于零。

随着制动力矩增加,制动器力矩也随着增加,车轮角速度开始下降,车轮滑移率也开始上升,由图1-1的轮胎特性可以看出:随着滑移率的上升,附着系数也开始上升。在达到最大峰值附着系数以前,车轮处于稳定的区域内,这时制动器制动力与地面附着力达到平衡,制动器制动力与地面的附着力成正比,如图3-2。

图3-2 ABS控制范围

s<20%为制动稳定区域;

s>20%为制动非稳定区域;

将车轮滑移率s控制在20%左右,便可获取最大的纵向附着系数和效大的横向附着系数,是最理想的控制效果。



在低附着路面下,如果制动力大于路面所能提供的摩擦力时,车轮滑移率就会逐渐增加,最终抱死。这种情况下,车辆纵向制动力系数会减小,刹车距离会增大,横向制动力系数更会急剧减小,车轮会丧失稳定性,是十分危险的。

3)车轮附着系数与滑移率占比关系

最佳的制动距离通过轮胎达到最大的路面附着系数来实现。除绝对制动距离外,滑动直方图是可以评估ABS控制器控制质量的一种方法。图3-3显示了在干沥青路面以0~100 km/h的制动作用下,通过稳定的ABS控制在10~80 km/h的主减速阶段中车轮滑移率的变化,通过测试得到轮胎滑移率和附着系数曲线,并对各滑移率占比进行统计。




图3-3 车轮附着系数与滑移率占比关系由图可知,在最大可传递纵向力的范围内,滑移率占比越多,ABS控制器在制动过程中对轮胎潜力的利用就越好,而ABS的质量就越好,同等条件下,能得到最优的制动距离。

4)不同路面的车轮滑移率与附着系数关系

干燥硬实路面附着系数与滑移率的关系如图3-4所示。



图3-4 干燥硬实路面附着系数与滑移率的关系

在比较湿滑的路面上全力制动时,制动器制动力则要超过地面最大附着力,这时如果制动器制动力不能及时减小,车轮则完全处于轮胎特性曲线的不稳定区域,车轮会很快抱死。在高速湿滑路面上制动抱死时,路面附着系数会大大小于峰值处的附着系数,这样车轮制动力大大减小。而在转弯情况下,抱死车轮会使轮胎横向力迅速减小,如图3-5所示,这样车轮的稳定性很容易丧失。

当驾驶员开始制动时,




图3-5 不同路面的车轮滑移率与附着系数关系实验证明,道路的附着系数受车轮结构、材料,道路表面形状、材料有关,不同性质道路其附着系数变化甚大。



此外,由下图可知,汽车制动时的附着系数与制动时滑移率有很大关系:

附着系数与路面“状态”有关;附着系数随滑移率发生变化;前轮抱死,汽车将失去转向能力;后轮抱死,汽车易发生侧滑现象。



(8)制动力分配

前、后制动器制动力的分配比例,会影响制动时前后轮的抱死顺序,从而影响汽车制动时的方向稳定性和附着系数利用程度。如果前后轴可以同时抱死,就既能保证行驶稳定性,后能充分利用路面附着系数进行制动,是最理想的情况。

先认识一下I曲线:在各种附着系数的路面上制动时,要使前、后车轮同时抱死,前、后轮制动器制动力应满足的关系曲线。如下图(具体推导过程可参考汽车理论专业书籍)。

I曲线的主要含义就是在不同路面下,按照这个前后轴制动力分配,均能实现前后轴同时抱死。但是实车上想做到这样变化的分配比例是很难的,而且I曲线的形状还与质心位置等密切相关,所以I曲线仅有理论指导制动力分配设计的意义,不具备实车可操作性。一般,汽车都是按固定比例进行制动力分配的,前后轴制动力之比有β = Fμ1 / Fμ2当β先位于I曲线下方时,前轮会先抱死;当β先位于I曲线上方时,后轮会先抱死。所以一般设计β曲线,会使得在大部分附着系数下前轮先抱死,保证制动稳定性;也会尽量靠近I曲线,充分利用地面附着系数,如下图。

3.制动性能评价汽车在行驶过程中,强制地减速以至停车且维持行驶方向稳定性的能力成为汽车的制动性。汽车的制动性能是汽车的主要性能之一,重大交通事故往往与制动距离过长、紧急制动时发生侧滑等情况有关,所以汽车的制动性能是汽车安全行驶的重要保障。



1)制动效能:汽车在行驶中,强制减速以至停车的能力成为制动效能,即汽车在良好路面上以一定的初速度制动到停车所驶过的距离、制动时汽车的减速度或制动力的大小。也是指汽车迅速降低车速直至停车的能力。这些是制动性能最基本的评价指标。




制动距离






2)制动效能的恒定性

指制动效能保持的程度,通常称为抗热衰退性,指汽车高速行驶情况下制动或下长坡连续制动时,制动效能保持的程度,用ŋ来表示。



用一系列连续制动时制动效能的保持程度来衡量,



-抗水衰退性能:指汽车在潮湿的情况下或涉水行驶后,制动效能保持的程度。

3)制动时汽车行驶的方向稳定性:指制动时汽车按给定路径行驶的能力。若制动时发生跑偏、侧滑或失去转向能力,则汽车将偏离原来的路径。制动过程中,有时会出现制动跑偏、侧滑或前轮失去转向能力而使汽车失去控制离开原来的行驶方向。上述三种情况是汽车制动时方向不稳定的主要现象。

制动时原期望按直线方向减速成停车的汽车自动向左或向右偏驶称为制动跑偏。原因:汽车左、右车轮,特别是左、右转向轮制动器制动力不相等。



同轴两侧车轮的制动蹄片接触情况不同;

同轴两侧车轮制动蹄、鼓间隙不一致;

同轴两侧车轮的胎压不一致或胎面磨损不均;

前轮定位参数失准;

左右轴距不等。

谈制动方向稳定性都绕不开下面这张图,路面附着系数与滑移率之间的关系。

这个图反应了两个现象:①纵向附着系数随着滑移率先增大后减小,一般在15%~20%左右有最大纵向附着系数,当车轮抱死时,纵向附着系数虽有降低,但依然能够提供较大的制动力。另外,只要车辆在制动,车辆必然在滑移,不然就没有制动力,驱动也是类似。②侧向附着系数随着滑移率是逐渐减小,当车辆抱死时,侧向附着系数接近于0,即车辆失去地面侧向力,这是非常危险的情况。制动稳定主要考虑车轮打滑失去侧向力之后的车辆运动状态,前后轴打滑后车辆的稳定状态有较大差异,下面具体分析。

①仅后轮抱死时受力分析示意



Fy:侧向干扰力 Gx:制动惯性力 Fy1:前轮侧向力 Fy2:后轮侧向力

前轴产生侧滑,离心力与侧滑方向相同,导致侧滑程度不断加剧,以至可能翻车,这是十分危险的运动状态。

后轮打滑时受力分析如下图。

后轴侧向力Fy2接近于0;前轴保持侧向力Fy1,且对车辆产生的力矩方向与车辆横摆方向相同,将加剧车辆转动,车辆将发生急剧的转动,非常危险。

②仅前轮抱死时受力分析示意



Fy:侧向干扰力 Gx:制动惯性力 Fy1:前轮侧向力 Fy2:后轮侧向力

后轴侧滑,由于离心力与侧滑方向相反而减小侧滑量。

前轮打滑时受力分析如下图。

前轴侧向力Fy1接近于0,车辆失去转向能力;后轴保持侧向力Fy2,且对车辆产生的力矩方向与车辆横摆方向相反,能有效阻止车辆转动,车辆保持直线行驶。

③车轮抱死的危害

车辆转向时,需要前后两轴一起提供侧向力及横摆力矩,维持转向稳定。当某一轴打滑就会失去该轴的侧向力,车辆只能靠另一轴维持侧向力,此时就会有失稳风险。前轴打滑失去转向能力,后轴打滑失去稳定性。从制动稳定性上看,不希望前、后轴发生打滑,这一点主要靠ABS电控系统保证。另一方面,如果没有ABS,或者ABS失效了,我们也至少希望前轴先打滑,保证车辆稳定,这个就需要从制动力分配上解决了。

前轮抱死-失去转向能力;后轮抱死-统计表明,后轴侧滑是造成交通事故的主要原因;制动效能下降。



制动侧滑试验表明:

若只有前轮抱死拖滑,汽车基本上沿直线向前减速行驶,汽车处于稳定状态,但汽车丧失转向能力。

若后轮比前轮提前一定时间先抱死拖滑,且车速成超过某一数值,只要有轻微的侧向力,汽车就会发生后轴侧滑而急剧转动,甚至调头。

目前已经认识到:制动时,若后轴比前轴选抱死,就可能发生侧滑;前后轴同时抱死或后轴比前轴先抱死,就能防止后轴侧滑。

从保证汽车方向稳定性的角度出发,首先不能出现只有后轴车轮抱死或后轴车轮比前轴车轮先抱死的情况,以防止危险的后轴侧滑。其次,尽量减少只有前轴车轮抱死,或前后轮都抱死的情况,以维持汽车的转向能力。最理想的情况就是避免任何车轮抱死,以确保制动时的方向稳定性。

线控制动

随着高级驾驶辅助系统的逐渐普及和智能化发展,人们对制动系统提出了新的要求,一方面既希望制动系统能够实现踏板力和车轮制动力之间的解耦,保持良好的踏板感觉来实现制动能量回收的需求,又希望实现高精度、更快的制动响应速度(300ms → 90ms)的汽车四轮制动力独立调节的目的;另一方面,希望制动系统具备主动制动功能,以适应紧急制动等智能辅助驾驶系统的需求。

1.定义

线控制动,即Brake-By-Wire,在线控底盘技术中是难度最高的,但也是最关键的技术。线控制动系统掌控着自动驾驶的底盘安全性和稳定控制,只有拥有足够好的制动性能(包括响应速度快、平顺性好等),才能为我们的安全提供良好保障。

如果制动踏板仅仅连接一个制动踏板位置传感器,踏板于制动系统之间没有任何刚性连接或液压连接的,都可以视为线控制动系统,如下图。



2.组成





由于技术发展程度的局限,目前出现的线控制动系统是电子制动系统,它主要包括电子液压制动(electronic hydraulic brake,EHB)和电子机械制动(electronic mechanical brake,EMB)两种类型。



(1)典型的EHB系统由制动踏板传感器、电子控制单元(ECU)、执行器机构(液压泵、备用阀和制动器)等组成,如下图。



正常工作时,制动踏板与制动器之间的液压连接断开,备用阀处于关闭状态。制动踏板配有踏板感觉模拟器和电子传感器,ECU可以通过传感器信号判断驾驶员的制动意图,并通过电机驱动液压泵进行制动。电子系统发生故障时,备用阀打开,EHB系统变为传统的液压系统。

EHB从结构上分:

整体式:总泵踏板单元、主动增压模块、压力调节模块集成在一个部件内

分体式:总泵踏板单元和主动增压模块集成在一个模块中,压力调节作为另一个单独模块。



(2)在EMB系统中,所有的液压装置,包括主缸、液压管路、助力装置等均被电子机械系统替代,液压盘和鼓式制动器的调节器也被电机驱动装置取代,是名副其实的线控制动系统。EMB系统的组成如下。



EMB系统的ECU通过制动踏板传感器信号以及车速等车辆状态信号,驱动和控制执行机构的电机来产生所需的制动力。

(3)EHCB系统

是目前已知的最接近量产的EHB和EMB混合产品,由于EMB制动力不足,因此该制动系统前轮采用EHB,后轮采用EMB。



3.原理

线控制动系统将原有的制动踏板用一个模拟发生器,用来接收驾驶员的制动意图,产生、传递制动信号给控制和执行机构,并根据一定的算法模拟反馈给驾驶员,原理图如下图。



传统液压制动系统实现车辆制动功能是直接通过液压装置来传递和实施的,而线控制动系统则是利用物理信号传递制动信息,使用电子控制单元控制机电一体化装置来实施制动。线控制动简单理解是电开关版的蝶式刹车,不需要再经过油压转换,直接让电控单元驱动活塞,卡钳夹紧制动片以达到刹车制动效果,从而直接实现“电”信号对制动系统更直接的管理。

EHB原理:电机液一体化,电机取代真空助力器

EMB原理:电机一体化,电机直接驱动制动器



踏板信号以及车辆信号首先传导到 ECU,决策后再向4个车轮制动模块发出制动指令。车轮制动模块上的电机驱动制动摩擦材料块,然后实现摩擦制动。每一个车轮都有一个制动模块,可以单独分别控制,每个模块的驱动电机也都有单独的电机控制器。4个模块作用下,实现制动力分配,制动稳定性控制等功能。

电子机械制动系统

线控制动系统在原理上带来革新的同时也产生了一个不可忽视的问题. 线控制动系统的制动增益系数与传统的液压制动系统相比较低,这就使得线控制动系统需要消耗过多的车载能源,再加上受到车载电气系统的限制,电子机械制动系统的应用一直得不到广泛的推广。

自动驾驶时代的逼近推动了线控制动技术的进一步发展。线控制动是自动驾驶汽车“控制执行层”中最关键,也是技术难度最高的部分。

EHB和EMB在传力路径上有很大不同,工作原理和特性也有差别:

电子液压制动(electronic hydraulic brake,EHB)系统液压管路复杂且难以集成驻车制动,而电子机械制动(electronic mechanical brake,EMB)很难满足失效备份的需求。这两种制动系统各有优势,也都有各自的缺点。二者相比较,EMB是更优的方案,它不以制动液为工作介质,控制响应更加迅速精确,但其制动力能力依赖于较大的驱动功率,必须配备42V电源系统,更为关键的是,EMB系统不能满足现行法规对制动系统失效备份的需求。而EHB制动系统虽仍然保留了制动液,系统布置复杂,连续制动时,由于高压蓄能器压力的衰减,维持响应速度与精度能力均不及EMB,但它基于传统液压制动系统,易于实现失效备份。电子机械制动系统(EMB)因结构简单、制动效果好、易于与其他电控功能集成在一起,逐渐成为汽车制动系统的研究热点。前轴采用EHB系统,后轴采用EMB系统,将两种制动系统结合应用可有效发挥两种制动系统的优势。前轮采用EHB系统可实现前轮单轮制动力调节,同时靠装于前轴的EHB实现制动失效备份以满足现行法规要求;后轮采用EMB可缩减制动管路的长度,消除压力控制过程中由于管路过长带来的不确定性,同时能够方便地实现电子驻车制动(electrical park brake,EPB)。

电子液压制动系统EHB是从传统液压制动系统进化而来,具有冗余系统,安全性在用用户的可接受性方面更具优势,且此类产品成熟度高,兼具液压制动系统高制动增益系数和线控制动的优点,得到国外汽车零部件生产厂商的重视。目前各大供应商都在推行其开发的产品,如博世的iBooster、大陆的MK C1、采埃孚的IBC和日本日立公司推出的e-ACT等。这类制动系统具备变助力比功能,能提供较好的驾驶感受、实现部分能量回收和主动制动功能。然而,该类制动系统仍然无法实现踏板力与车辆制动力之间的解耦及单轮制动力调节,要实现上述功能,需要额外添加器件,增加系统的复杂度。

从本质而言,电子液压制动系统(electronic hydraulic brake,EHB)并不是真正意义上的线控制动系统。虽然EHB能完全独立于制动踏板而进行制动,但是其物理线路没有延伸到车轮制动器,电子液压制动系统仍需要制动液将制动能量从蓄能器传递到制动轮缸,仍然包含复杂的制动液传输管路,使得EHB并不完全具备线控制动系统产品的优点。但是就目前而言,这种结构相比于其他线控制动系统具有一定的优势,因为原有的液压制动系统结构得以保留,可以使用人力在供能装置失效的情况下作为备用制动选项。备用系统增加了制动系统的安全性,使车辆在线控制系统失效时还可以进行制动,但是由于备用系统EHB系统也因此被视为BBW系统的先期产品。

线控制动系统作为未来汽车制动系统的发展方向,必然是未来的趋势,EHB为现有技术条件下的主要方案。

线控制动路线对比:EHB vs EMB

EMB理论上完美,但由于冗余备份、电机性能等限制,预计未来5-10年内仍将以EHB为主。与EHB 相比,EMB主要组件差异是系统内没有制动液。EHB路线对比:One-Box vs. Two-Box

One-Box较Two-Box性能上更具优势,但Two-Box目前安全性更有保障,One-Box需要看踏板调教的安全性。One-Box方案集成ESP,需以成熟ESP技术为基础,Two-Box方案协调ESP,可通过外采ESP降低技术难度。

3.线控制动系统的特点

汽车线控制动系统具有以下优点:

(1)线控制动系统的制动踏板与制动执行机构解耦,可以降低部件的复杂性,减少液压与机械控制装置,减少杠杆、轴承等金属连接件,减轻质量,降低油耗和制造成本。

(2)线控制动系统具有精确的制动力调节能力,是电动车汽车摩擦与回馈耦合制动系统的理想选择。

(3)基于线控制动系统,不仅可以实现更高品质的ABS/ESC/EPB等高级安全功能控制,而且可以满足先进汽车智能系统对自适应巡航、自动紧急制动、自动泊车、自动驾驶等的要求。



电子液压制动系统EHB有许多优势,一是电子液压助力器无发动机提供真空助力,体积更小、重量更轻,EHB内部没有运行真空助力器所需要的真空生成装置(真空助力器),结构更简单紧凑,发动机舱内的可用空间将增加;二是电动液压助力器,它的一切均为电气控制,能够实现制动器的电动驱动,EHB电动驱动,响应也更加迅速,与标准的真空助力系统相比,反应速度更快,产生的摩擦力也更大,提供的性能更为稳定,EHB 在紧急情况下的制动力更强,并且产生的制动速度也更快,并可在应对道路紧急情况时缩短响应时间,提升驾驶员与乘客的安全保障;三十方便实现四轮制动分别控制,容易集成ABS (Anti-lock Braking System), TCS (Traction Control System) 以及 ESC (Electric Stability Control)等辅助功能,兼容性强。EHB 系统仍保留了传统的液压管路部分,是电子和液压相结合的产物。因此 EHB 在高级驾驶辅助系统方面也有优势,并且踏板解耦,能够主动制动以及能量回收,使电动汽车EV在制动能量回收(即将制动系统的能量带回电池)方面具有显著优势。由于EHB以液压为制动能量源,液压的产生和电控化相对来说比较困难,不容易做到和其他电控系统的整合;而且液压系统的质量对轻量化不利。未来可能成为主流的线控制动系统将是EMB,但EMB技术在汽车上的应用并不成熟,短期内难以量产。

电子机械制动 EMB 系统结构显得更简洁了,取消了制动系统的液压备份部分,踏板信号与执行器之间完全靠电子信号传输,与 ABS、TCS、ESC 等模块配合实现车辆底盘的集成控制, 是真正的线控制动系统。EMB 结构精简,能够降低整车质量,易于维护,便于安装调试;完全解耦,制动响应更加迅速;便于底盘域控制及智能驾驶技术发展。在减轻整车重量、提高汽车燃油经济性和整车装配等方面有很多优越性。EMB具有以下优点:

(1)执行机构和制动踏板之间无机械或液压连接,缩短了制动器的作用时间,作用时间在100ms以内,有效减少制动距离。

(2)不需要助力器,减少空间,布置灵活。

(3)没有液压系统,系统质量轻且环保。

(4)在ABS模式下无回弹振动,可以消除噪声。

(5)便于集成电子驻车制动、防抱死制动、制动力分配等附件功能。

EMB使用本身工作环境恶劣、电子元器件易受干扰,系统工作的安全性和可靠性还有待提高;EMB要求助力电机的性能优越、反应迅速、体积小巧,在电机设计上难度很大,成本很高。EMB具有以下缺点:

(1)无液压备用制动系统,对可靠性要求极高,包括稳定的电源系统、更高的总线通信容错能力和电子电路的抗干扰能力。

(2)制动力不足。因轮毂处布置体积决定制动电机不可能太大,需要开发配备较高电压(42V)的系统提高电机功率。

(3)工作环境恶劣,特别是高温。因部件振动高,且制动温度达几百摄氏度,制约了现有EMB零件的设计。

由于缺乏足够的技术支持,目前市场上并没有批量装车的EMB产品。



4 线控制动主要研究内容

当前,线控制动系统的研究主要集中在 3 个方面:踏板模拟、主动制动和制动能量回收。

(1)踏板模拟

BBW系统取消了踏板和主缸之间的机械连接,踏板力需要用通过模拟器或算法模拟的方式提供给驾驶员,踏板力模拟的好坏决定了 BBW系统品质的优劣。目前主要的研究集中在实验方法,一般是通过对大量的实验数据进行分析归纳,得到踏板力与踏板行程和车辆状态之间的关系,通过弹簧或作动器对踏板力进行模拟。

(2)主动制动

上层策略根据当前车辆状态和驾驶员操作,向 BBW系统发出制动请求,BBW系统则需要准确、快速地响应这个请求。主动制动旨在提高车辆的稳定性和安全性,高级驾驶辅助系统(ADAS)、紧急制动系统 (AEB)及自动驾驶等都使用到了这一功能。目前,所有关于主动制动的研究基本分为基于经验设计的方法和基于动力学模型计算的方法。几乎所有常见的控制算法都可以其中找到应用,如PID算法、最优控制、鲁棒控制、滑模控制、模糊控制、神经网络控制、模型预测控制。

(3)制动能量回收

制动能量回收系统的中协调分配电制动力矩和制动力矩是关键技术之一, 控制策略的研究基本围绕这一点展开。

5 线控制动系统的产品和应用

(1)德国博世iBooster

德国博世公司于2013年正式推出线控制动产品iBooster,是典型的直接型EHB,目前大众所有新能源车均使用iBoosters,如下图所示。



上图a是第一代产品,完成度不高,在国内没有使用;上图b是第2代产品,从二级蜗轮蜗杆改用一级齿轮丝杠减速,体积大幅度缩小,线控精度有所提高,第2代iBooster有四个系列产品,助力大小从4.5kN到8kN之间,8kN可以用在9座小型客车上。





iBooster结构特点

  • 机电制动助力器
  • 不依赖真空:使用电机,可以独立形成压力,无需制动踏板
  • 与ESP HEV结合使用时,可实现最大0.3g的减速值的完全能量回收
  • 可为电动车最多增加20%的续航
  • 与典型的ESP系统相比,制动压力快三倍
  • 满足未来的NCAP要求
  • 通过改变踏板特性提供不同的制动模式:运动,舒适
  • 2-box结构
  • 重量为4-5㎏;空间为8”+9”真空助力器

ibooster基本功能:

机电制动助力(类似于真空助力器)

在电动或混动车参与制动能量回收



在电器失效时能够提供无助力制动



能够主动制动以实现增值功能



本田在传统燃油车上配备了第2代iBooster,由于能量回收时电流突然增大,iBooster容易出现断电保护,这是ESP介入,但会给人短暂的刹车失灵的感觉。

iBooster电控单元总体方案:








iBooster软件框架图



iBooster的工作原理如下图,




它采用齿轮-梯形丝杠减速增扭机构,将电机的转动转化为转动总泵活塞的平动,建立制动压力。制动踏板推杆与执行机构总泵活塞推杆之间通过间隙的方式进行一定程度的解耦。



藕合踏板的好处:ABS路感,制动系统衰退被驾驶员感知,比解耦系统用电少,特别式紧急制动时。

iBooster通常与ESP配套使用,ESP在iBooster失效时顶上。不过因为ESP也是一套电液压系统,也有可能失效,且ESP在设计之初只是为自动紧急制动(AEB)类紧急制动场景设计,不能做常规制动。所以博世在第2代iBooster推出后,着手正对L3和L4级自动驾驶设计了一套线控制动系统,如下图。



智能集成制动(Intergrated Power Brake,IPB)是iBooster和ESP合二为一,体积大大缩小,质量也降低不少,最重要的是相对iBooster成本大大降低。



典型带有E-Booster的EHB系统如下图所示。踏板位移和踏板力经电子传感器传导给电子 ECU,然后经过不同的助力形式,如电动液压泵高压蓄能器或者直流电机等推动建立起液压,液压再分配给四个制动轮缸。

工作过程为:

1)驾驶员踩下制动踏板,输入机械力;

2)E-Booster通过电机和泵对驾驶员的输入进行助力(boost);

3)制动主缸将驾驶员的输入力和E-Booster的助力转化成制动系统液压;

4)主缸液压通过制动硬管和软管传递至每一个车轮的制动卡钳轮缸;

5)液压推动轮缸的活塞,产生压力,将摩擦片压紧到旋转的制动盘上;

6)摩擦片在垂直压力的作用下,产生摩擦力和制动力矩,对整车进行制动。

典型带有E-Booster的EHB








应用博世公司线控制动系统产品的车型主要有特斯拉全系、大众全部新能源车、保时捷918、凯迪拉克CT6、雪弗兰的Bolt和Volt、本田CR-V、法拉第未来FF91、荣威Ei5、比亚迪e6、蔚来ES8等。

(2)大陆的MKC1



  • 1-box结构,简化的2-box结构



(3)意大利布雷博线控系统

意大利著名的高性能制动系统及部件厂商布雷博(Brembo)表示,未来10年内,线控制动(Brake-By-Wire)系统将会进一步普及,并且这将称为未来智能车不可或缺的一部分。布雷博的线控制动系统如下图。



相比液压制动系统,线控制动不仅可以降低重量,响应也更加敏捷,还能根据驾驶模式灵活调整制动踏板的感觉以及响应速度,有效解决电动汽车再生制动和摩擦间的切换问题。由布雷博研发的线控制动系统响应时间是90ms,比传动的液压制动系统整整快了210ms。


说起布雷博(Brembo),绝大多数车迷都会联想到F1赛车上那无比强悍且精巧的制动系统,但是面对更加高效,互联,智能车辆的需求,制动系统在这个全新领域如何发挥作用,布雷博有着自己的思考。

BRAKE-BY-WIRE线控制动解决方案

线控制动系统在当下已经不是什么新鲜名词,博世的iBooster,大陆的MK1(IPS)等等,都已经在这个领域有所建树,那么布雷博能打出什么不一样的牌么?还真有,那就是布雷博在上海车展上公布的BRAKE-BY-WIRE线控制动解决方案。



传统的(目前绝大多数汽车)制动系统都是由真空助力器帮助驾驶员以更轻松的方式控制制动,而iBooster等系统用电机取代了真空助力器,让制动助力不再真空环境,可以根据工程师的意愿实现不同的制动特性,以及体积更小、重量更轻等特性。而布雷博BRAKE-BY-WIRE线控制动解决方案的最大的独特之处在于其创新的“分布式”架构。它直接取消了制动总泵,并在每个车轮上都设置有单独的电动制动执行器,这样一来,每个车轮都是一套相对“独立”的制动系统,不再需要总泵的“助力”支持。布雷博BRAKE-BY-WIRE线控制动解决方案的硬件系统由以下几个方面构成:两套制动控制单元(BCU),分别控制前后电动执行器且互为备份;四个电动执行器,负责为制动器提供制动压力,其中前轮由执行器是将电子信号转为液压压力推动制动器,而后轮执行器则是直接推动制动器(EMB)而驾驶员踩动的制动踏板按照布雷博的说法,实际是一套制动踏板模拟器。



现场展示的BRAKE-BY-WIRE线控制动解决方案。



制动控制单元(BCU)是整套系统的大脑,负责收集、处理所有的制动信号。



每一个车轮都有独立的执行电机,负责为制动卡钳提供制动力。



后制动卡钳驻车与行车制动器集成为一体。



那么这套系统是如何工作的呢?

当驾驶员踩下制动踏板,制动踏板模拟器为驾驶员提供刹车脚感,踏板传感器检测到施加在踏板上的力之后,将信号传送到前后BCU上,前、后BCU处理踏板收到的信号,再将其传递给前后执行器,建立制动力。这套BRAKE-BY-WIRE线控制动解决方yoyo有如下几个主要的方面:1.更高安全性:它的响应时间为100毫秒,仅为传统制动器响应时间的1/3,在制动这毫秒必争的情况,更快的响应速度可以起到缩短制动距离效果,从而提升安全性。2.更多定制化:由于制动力全部由制动控制单元(BCU)计算给出,因此,驾驶员可以按照自己喜好让执行器输出不同的制动力,比如舒适还是运动,灵敏还是迟钝;同样,制动踏板模拟器也可以模拟出不同的制动脚感,要软还是硬全凭您自己。此外,由于脚感是模拟出来的,即使制动系统进入ABS(防抱死)调节状态,踏板也可以保持始终如一的脚感,而不让驾驶员产生恐慌。3.更多集成化:由于四个车轮的制动信号全部由BCU处理,因此,BRAKE-BY-WIRE线控制动解决方案可以集成ABS、EBD、ESC等功能。此外,还可以实现与ADAS高级辅助驾驶系统在功能和结构上的兼容,包括AEB、停车辅助等等,甚至是“单踏板”驾驶模式。4.更少的维护:BRAKE-BY-WIRE线控制动解决方案仅在前轮执行器上使用少量的制动油液,因此他可以做到更少维护。5.布局更灵活:由于采用了“分布式”架构,彼此之前全部为电信号传输,没有了传统制动液管路布置的束缚,因此,无论是在设计方面的匹配、测试,还是生产方面的工艺流程都能够拥有更好的效率。ENESYS节能系统除了BRAKE-BY-WIRE线控制动解决方案之外,布雷博还在车展上带来了一个小装置——ENESYS 节能系统。简单理解ENESYS节能系统就是一个小的“弹簧片”,负责让夹紧的制动片回位。盘式制动器是利用分泵卡钳推着制动片“捏住”刹车片,来完成制动效果,“捏住”的这个动作由刹车助力泵来完成,但是完成制动后,抬起刹车,制动盘、片是如何分开的呢?靠“甩”。目前的制动系统中,夹紧的制动片并不会主动回应,需要依靠车轮向前转动带动制动盘转动,从而"甩开“制动片,因此就会产生一定制动器拖带力矩,大约能达到4牛.米/车桥。虽然听起来不多,但是这对于视”里程“为生命的新能源车来说也是不可忽略的,苍蝇虽小,却也是肉。

ENESYS 节能系统利用自身的金属弹力,可以将夹紧的制动片回位,从而把剩余制动力矩降到趋近于零。别看这个系统简单,据现场工作人员介绍,它可以为新能源车型提升20km左右的续航里程。

最后,布雷博还展出了他们最新的Dyadema®制动卡钳,Dyadema®是布雷博制动卡钳中的冷却王者,在提升制动性能的同时还能有效缩短制动距离。Dyadema®制动卡钳采用了独一无二的空气冷却技术,打造出6活塞单体铝制制动卡钳。布雷博为该制动卡钳集成了先进的冷却管,从而增加了制动片周围的气流,实现了强力通风,确保其性能的稳定与卓越。


最后:作为全球著名的制动器制造商,布雷博其实从2001年就开始持续增加对电动制动系统,即“线控制动”技术的研发资金投入,BRAKE-BY-WIRE线控制动解决方案可谓是二十年磨一剑,才能有现在的成果。目前这套系统即将投入到一款新车型上使用(车型保密),我们也将密切关注这款全新产品的表现。

(4)采埃孚的IBC

  • 1-box结构,简化的2-box结构




(5)万都的IDB

  • 集成式电动制动器
  • 直接通过电机产生制动压力
  • 驱动压力活塞
  • 2018年7月起开始供应给韩国OEM
  • 与分别在2010和2013年开发的AHB(Active Hydraulic Boost)的gen.1和gen.3相比,轻了4㎏和3㎏
  • 包括ESC的所有功能
  • 1-box结构,简化的2-box结构



(3)线控制动系统应用



6 线控制动国产替代

EHB系统目前已实现应用,如2003年BOSCH首次推出了装在E-Class 4matic型车上的四轮驱动 SBC,韩国 Mando公司,Continental Teves公司,TRW公司等都在EHB系统的开发中取得进展,并向通用、福特、戴姆勒-克莱斯勒公司等汽车厂家供货。国内外企业与高校均研发EMB原理样机,如博世、阿基波罗、汉阳大学等,但还不具备进入市场的条件。而EHB制动系统虽仍然保留了制动液,系统布置复杂,连续制动时,由于高压蓄能器压力的衰减,维持响应速度与精度能力均不及EMB,但它基于传统液压制动系统,易于实现失效备份,目前已实现应用,如2003年BOSCH首次推出了装在E-Class 4matic型车上的四轮驱动 SBC,韩国 Mando公司,Continental Teves公司,TRW公司等都在EHB系统的开发中取得进展,并向通用、福特、戴姆勒-克莱斯勒公司等汽车厂家供货。

德国博世公司最早开始电子液压制动系统的应用研究,自2001年起该公司的电子液压制动系统已经批量生产并应用奔驰SL级和E级系列轿车上;德国大陆公司在2015年推出MK C1型电子液压制动系统,该电子液压制动系统集成了制动主缸、储能单元和控制单元,使其结构更加紧凑.对于混合制动系统,大陆公司提出前轴采用传统真空助力器和配备液压控制单元的液压制动系统,后轮采用EMB结构形式的EHC(electric hydraulic combi,EHC)制动系统;韩国万都公司和汉阳大学合作开发了前轮为传动的带有电子液压控制单元的液压制动,后轮为楔块式电子机械制动系统组成的混合制动系统;最近Brembo公司宣布2020年前量产线控制动系统,发布的方案也为前轮采用EHB,后轮EMB的布置形式。(1) EHB厂商对比:One-Box vs. Two-Box

(2)EHB渗透率:对比ESP 成本降低至传统水平将迎来渗透率爆发

ESP渗透率是随着价格下降与技术成熟迎来爆发:

ESP产品渗透率并非线性增长,稳步替代ABS,而是随着价格下降与技术成熟,向中低价位车型渗透,在合适的时间点迎来爆发。虽然电子液压制动系统已经在国外某些车型上安装使用,例如奔驰SL级和E级轿车、丰田普锐斯以及雷克萨斯HX400H,但是目前国内还没有完全掌握电子液压制动系统EHB设计理论方法,这在一定程度上阻碍了电子液压制动系统在我国产业化进程。EHB有望5年后实现渗透率的爆发:我们预计随着EHB产品量产规模扩大,2025年价格年可下降至1,200元水平,接近目前传统液压制动系统价格,同时技术也将进一步成熟,渗透率会实现爆发增长。新能源车EHB的渗透率高于燃油车:2019年新能源车EHB渗透率在17%左右,显著高于2019年EHB在燃油车2%左右的渗透率。我们认为是由于新能源车在真空助力、能量回收等方面的需求, EHB产品对于新能源车性价比更高,预计2025年EHB在新能源车渗透率将保持高速增长,有望达40%,高于燃油车15%的渗透率水平。(3)EHB竞争格局:One-box将成为主流 国产替代尤为可期

燃油车渗透率低,预计增速相对慢:燃油车中EHB主要适用智能驾驶的场景,我们预计渗透率目前在1%左右,渗透率增速将低于新能源车,但由 于销量高于新能源车,整体市场规模更大,预计2025年有望达30亿元,CAGR为32%。新能源车渗透率提升速度相对快:新能源车中EHB适用于智能驾驶、能量回收等多场景。我们预计渗透率高于燃油车,但整体市场规模较小,预计2025年有望达20亿元,CAGR为37%。性价比更优的One-Box有望成为主流:

One-Box方案由于将ESP集成在EHB中,更需要以成熟的ESP量产经验为基础,由于其在性能、成本等方面的优势,博世、大陆、采埃孚正在逐步加码One-Box产 品,有望成为市场主流。具备先发优势的国产供应商有望实现国产替代:伯特利是国内首家研发出One-Box产品—WCBS,预计2021年量产,与博世等外资的量产时间差距不大;且WCBS集成了双控EPB(竞争对手无),具备一定的性价比优势,国产替代尤为可期。

目前 EHB 有着不同的实现形式,按照是否集成ESC、ABS 等功能的一体化形式,分为 One-Box 形式和 Two-Box 形式。One-Box 为EHB集成了ABS/ESP,只有一个ECU。而Two-Box需要协调EHB ECU和ESP ECU的关系。同时,EHB在新能源汽车的渗透率更高且增速更快,国产One-Box方案在价格上较主流Two-Box方案具有明显优势,具备先发优势的自主供应商有望实现国产替代。

九 国内制动市场格局

1 前言

在制动系统领域,依旧是博世、大陆、采埃孚等几家外资公司的天下,这些公司掌握着制动系统开发的关键技术。尽管很多产品都在国内生产,然而技术却牢牢掌握在外国人手中。

2 国内制动系统竞争格局

1)盘式制动器为市场主流,但EPB替代下销量增长有限。


盘式制动器更适用于乘用车:对比鼓式制动器的热衰减效应明显,制动性能更稳定的盘式制动器更适用于乘用车。盘式制动器成本降低带动渗透率上升:随着盘式制动器的成本降低,乘用车中逐渐开始从“前盘后鼓”向“四轮盘式”的配置转变,后轮的盘式制动器逐渐从中高端车型向低端车型渗透,成为市场的主流产品。前盘式制动器随乘用车销量波动变化,而后前盘式制动器逐渐被EPB取代:由于EPB(电子驻车制动)渗透率的提升,传统后盘式制动器逐渐被EPB取代,预计2025年较2019年将减少137 万套,CAGR为-4%。因此,盘式制动器销量增长有限,综上预计2025年盘式制动器总销量略微提升至2,725万套,CAGR不足1%。2)制动器竞争格局:集中度低,轻量化趋势渐显

制动器供应商超千家:根据Wind企业数据库,国内从事制动器总成、制动盘、 制动片、制动泵等配件生产的企业超过1000家,行业进入壁垒相对较低,整体格局相对分散。外资、国产供应商各据一方:外资供应商包括博世、大陆、布雷博、万都、天合、爱德克斯、中山日信等。国产供应商有伯特利、亚太、纳森、联创、力邦、上汽制动、汇众、万安、东光奥威、元丰、信义等。制动器轻量化渗透率低:

目前制动器行业集中度低,竞争激烈,低价竞争策略下,目前仍以铸铁制动器为主,轻量化铝合金卡钳、制动盘的渗透率较低,预计在5%左右。随着国内汽车减排政策趋严,预计2025年轻量化铝合金卡钳、制动盘的渗透率可提升至17%,对应市场规模39亿元。3)电子驻车制动格局(1)顺应汽车电子电气架构升级,EPB终将取代机械式

由于两种方案的制动性能相差不大,出于成本考虑,仍有畅销车型采取机械式驻车制动。伴随汽车电子电气架构升级与APA(自动泊车)、AVP(代客泊车)的推广,EPB必然成为主流。(2)电子驻车制动市场规模:渗透率超60%,低端渗透下有望突破150亿元

EPB渗透率整体较高:我们认为EPB产品将逐渐向低端车型渗透,2019年渗透率为64%,未来随着汽车电子电气架构向集中式方向升级,电子化的EPB将进一步取代机械式手刹,2025年渗透率有望达到79%。小于10万元车型渗透率提升空间较大:我们认为<10万元车型中,EPB渗透率仍处于低位. 2019年为29%,未来仍有较大提升空间。EPB渗透率将稳步提高:我们预计随着各价位车型EPB渗透率的逐渐提升,总渗透率将稳步提高,2025年有望达到79%左右。EPB市场规模有望持续扩大:我们认为2019年EPB市场规模目前在138亿元左右,2025年将扩张至150亿元左右。(3)竞争格局:国产替代进行时,优质自主有望抢占更多份额

德系提升空间较小:德系价格<10万的车型渗透率为0%,但销量占比仅为1%,提升空间较小。自主、日系、美系、韩系提升空间较大:自主、日系、美系、韩系价格<10万车型渗透率为38%/0%/0%/ 0% ;美系10万<价格<15万的车型渗透率为12%,预计合计有30亿元潜在市场空间。外资占据主要份额,但竞争格局有所松动:采埃孚天合、大陆、泛博(前博世基础制动器事业部)等外资供应商占据主要份额,而泛博于2012年被博世出售给KPS,于2019年又被KPS转手给日立,竞争力逐渐下降,格局松动。把握窗口期,国产替代有望加速:格局松动下国产供应商迎来宝贵窗口期,伯特利由此实现市场突破,成为国内唯一切入合资供应体系的国产供应商,且在客户结构、量产时间、产能上均优于力邦合信、亚太等国内竞争对手。随着电动化和自动驾驶的推进,汽车制动系统也在随之发生着巨大变化。电子驻车制动EPB未来将逐渐取代机械式手刹、EPB产品已经逐渐步入成熟期。此前采埃孚天合、大陆、泛博(前博世基础制动器事业部)等外资供应商占据EPB市场主导地位,而泛博于2012年被博世出售给KPS,于2019年又被KPS转手给日立,竞争力逐年下降,竞争格局有所松动,EPB国产替代有望加速。

十 智能制动系统的发展趋势

目前的车辆系统越来越倾向于在发生事故时减少对驾驶员的依赖。因此,智能制动系统受到了越来越多关注,以便在即将到来的自动驾驶中进一步提高安全性。OEM和供应商也开始开发制动辅助、紧急制动和其它类似功能电子设备。这些制动系统可监控车辆周围环境,避免或减轻碰撞带来的损失。这种系统的复杂性包括从检测行驶中的车辆到检测行人,当然还包括再生制动。

1.电动化与电子化的驱动

目前,电动化和自动驾驶正同时影响着制动系统。电动车广泛出现再生制动系统,再生制动可以是串联的,能量通过集成控制系统传递至电机和电池;也可以是并联的,无需集成控制即可完成,但无法调节添加到机械制动力上的再生力,而串联则可以调节。随着电子技术的发展,OEM可以利用更先进的电子控制技术提出电子制动解决方案,无论是为了提高制动安全性,如自动紧急自动系统AEB;还是为了车辆高度行驶准确性,如自动驾驶技术,它无疑需要更加智能的制动系统,更高的电子化程度进一步支持着它们;与信息娱乐系统或动力总成系统相比,由于制动系统的关键特性和对安全法规严重依赖,制动系统的开发速度较慢,随着电子技术的发展,它也有加速发展的趋势。电动车与自动驾驶技术的发展成为了制动系统发展的主要推动力。

2.新型制动技术的涌现

由于电动车对于能效的需求较高,宝马首先在电动车上采用了再生制动技术,然后奥迪、雪佛兰、现代、日产、特斯拉和丰田也都纷纷采用了这项技术。无人驾驶系统对制动系统也有着特殊的需求,比如:减少安装体积和重量、高压动力和NVH、增加的冗余要求。

集成式电动驻车制动(EPB)系统已经成为自动驾驶制动系统最大的需求,它可以为车辆提供更高的安全性和设计自由度。

几家主要的供应商,例如采埃孚和大陆已经推出了他们的集成式EPB系统。大陆的EPB-Ci系统包括直接安装在后桥卡钳上或集成在ESP中的控制器和功率级的机电执行器。EPB在不到一秒钟的时间内可输出最大20kN的夹紧力。




未来,可能会有越来越多的电动车会采用更先进的电动液压制动系统,包括万都的IDB(Integrated Dynamic Brake)、博世的iBooster、大陆MKC1和采埃孚的IBC。

丰田Prius在过去十年甚至更长时间里一直在追求先进的电动液压制动系统,沃尔沃也宣布在2020款混合动力版XC90上采用该技术。另一方面,宝马还为8系Coupe和敞篷版(燃油版)引入了电动制动系统,并计划在M8中也采用该系统。M8的“舒适”和“运动”模式会改变制动踏板上的压力。

显然,具有电机(包括EV/HEV/FCV)的车辆需要电动液压系统来增加能量回收量。另一方面,未来的自动驾驶领域也在尝试着不同的系统。例如,Brembo开发的新型混合动力系统具有电动液压前部和电动机械后部制动。


甚至更进一步,OEM和供应商们还一直声称要即将采用更彻底的线控制动。

作为未来汽车行驶安全的重要保障,智能制动系统时代的到来是不可避免的。不过,要强调的是,对智能制动系统的研究,国内企业与国际跨国企业存在着巨大的差距,如果按照目前这种趋势发展下去,差距将进一步拉大。对国内相关汽车电子企业来说,任重而道远。

文章参考: 智能汽车电子电气技术漫谈

发布于 2022-05-20 23:37

文章被以下专栏收录