添加链接
link之家
链接快照平台
  • 输入网页链接,自动生成快照
  • 标签化管理网页链接

对二八定律和财富分配的再思考

自经济学家韦弗雷德·帕累托提出二八定律以来,许多各行各业的专家对此进行了诸多延拓,把它运用到了收入分配之外的领域,经过多年的宣传,这个定律就成了神谕一样的存在,引来世人膜拜。

如:使用频率前20%的单词占据了文章中80%的内容。

前20%的客户提供了80%的利润。

便利店销量最好的20%的商品提供了80%的销售额。

亚马逊销售排名前20%的图书占据了80%的销量。

前20%的强势品牌占据了80%的销售份额。

诸如此类,仿佛二八定律就像人生的法则一样,参透了二八定律就能参透了人生的真谛。但实际上,少有人想清楚过这几个问题:

1:为什么宇宙中会存在二八定律?

2:二八定律究竟什么时候有效?什么时候失效?

3:财富分配真的服从二八定律吗?

我相信许多朋友已经看过了太多成功学家,管理达人的关于二八定律的鸡汤,在被二八定律洗脑时也会产生一些怀疑,因此本文就更深刻地解释一下二八定律的原理。


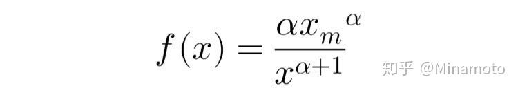
如果光说一个“二八”,显然是不足以确定变量的分布的,因此,数学上更准确地说,二八定律是一种幂律分布,密度函数为:

这个密度函数正好是幂函数的导数,所以被称作“幂律分布”。其中,Xm是一个常数,而x的取值范围为Xm到正无穷,这样,就能刚好使得密度函数的积分为1。

图像上看,就是这样:

平时所说的二八,只是一个大概,就是说幂律分布中前面的头部所占据的比例非常大。

比如这绿色的部分,就是头部,而黄色的部分则是尾部,绿色部分的x所取的区间非常小,但所占的面积却非常大,故有人称20%的人占据了80%的财富,又称二八定律。

上面这个内容想必大家很多都听说过,但是现在问题来了,这个分布是怎么来的?许多传授人生哲理的鸡汤都告诉你生活中处处存在着二八定律,却很少解释为什么会出现这二八定律,这正是我们要探究的。

幂律分布产生的的原理非常的简单,就是源于无标度网络的节点的度数。

这是个什么意思?“度”是指在一个网络中,与一个节点相连的其他节点的数量。

比如说有一个三角形,每一个顶点连接别的两个点,那么这个点的度数就是2。

那么什么又是无标度网络呢?比如,下面这个例子,就可以生成一个无标度网络。

一开始有一个点,接下来每过一秒钟中增加一个点,新增的一个点会与原来的某个点随机相连。但是与原来的点i相连的概率与等于i的度数除以所有点的总和度数。

比如,原来有三个点A,B,C。A连着B也连着C,而B和C没有相互连接,这样,A的度数就是2,B和C度数就都是1,当出现第四个点D的时候,D连到A的概率就是B的两倍(相对概率与度数成正比),在D出现前的总度数为4,这样,D点与A点连接的概率就是1/2,而与B点连接的概率是1/4。

于是这样就形成了一种马太效应,一个点连上的线越多,那么新来的点连上它的概率就越大,它就更容易连上更多的点。

因而,无标度网络一般会形成以下这种图形,

我们可以看到少数的几个大点连接了非常多的点,而绝大多数的小点连接的线段则非常少。

幂律分布的本质,就是在描述这种网络,绝大多数的点的度数都比较低。

关于不同度数的节点所占据总节点数的比例服从幂律分布的证明,知乎上已经有一些知友给出,对于有概率论基础的朋友来说不难理解,本文就不加赘述了。


我们现在已经知道了二八定律是怎么来的了,那么问题又来了,这和我们日常生活又有什么关系,为何它会被成功学奉为圭臬呢?

因为日常生活中的许多现象,与这种无标度网络的形成是相似的。

比如,如果一个单词已经被用了很多次,那么自然写作者就会觉得用这个单词就能让更多人更容易理解,就会更喜欢用这个单词。

再比如,如果一家店已经卖出了很多商品,就会传出知名度,下一次出现了要买这个商品的客户的时候,他找到这家店买东西的概率就会提升。这样,在商人集体之间就会形成无标度网络,生意做得越大,就越容易做生意。

这就是生活中充满着二八定律的原因。这样说来,成功学的言论似乎也没什么问题,然而这只能说明二八定律的普遍存在性,而不能说明二八定律是实用的,事实上二八定律的实用性和重要性被严重地高估了。

宣扬二八定律的著作往往想要读者们集中精力去针对那最重要的20%,然而二八只是一种大概的描述,我们知道标准的幂律分布本身是不截尾的,会延续到无穷远处,这就是说根本不存在一个20%的位置,日常生活中客户或是单词总是有限个,所以20%的头部可以找到,但由于幂律分布的性质,究竟20%是在什么位置误差是非常大的,更何况还要找到究竟谁才是那20%。

其次,幂律分布可以取无穷种不同的参数,这导致不一定是20%的头部占据了80%,也许是30%的人占据了70%,或者一九。

最后,在群众最关心的议题上,二八定律真的是普遍的真理吗?接下来我们就进入本文的正题来分析这个问题。


我们知道二八定律本身是由大名鼎鼎的帕累托在研究财富分配问题时所发现的,二八定律给人造成了一种错觉,即马太效应是不可避免的,20%的人注定要掌控80%,即便不是二八开,也意味着绝大多数的财富会属于少数人。

既然自然界中充满了二八定律,那么财富分配也服从二八法则也是一件自然的事——这似乎使得一切试图改变贫富差距的努力都显得徒劳了起来。但事实上,恰恰是在二八定律被发现的地方,二八定律最需要被改正。

我们知道幂律分布的密度函数为:

在这个密度函数中,x的取值范围为[Xm,+∞)。x的最低值为参数Xm,而函数f(x)是严格减函数,那么这个函数在Xm处就会取得最大值,这就是说,最穷的人的所占的密度是最大的。

如果我说在中国领低保的人数比月收入3500到5000的人数还多,你应该是不信的,事实上在中国,个税从3500调整到5000会使得6000多万人不必缴纳个税,这还不包括个体户,而2019年初全国低保人口已经不足5000万,因此,你的感觉是很对的——最穷困的人群在中国所占据的比例不是最大的。

幂律分布对财富分配现实的偏离在全世界也是普遍的,难道全世界最不发达地区的人口是最多的?难道美国欧洲的贫困阶级人口比中产阶级人口多?

可见,至少在当代,单靠幂律分布根本就不足以描述财富的分配状况,事实上在20世纪末以来,经济学者围绕着财富分配的规律展开了讨论,多如牛毛的证据已经指出财富的分布是“双边拖尾”的,即极度贫穷的人和极度富裕的人都比较少,而不是像19世纪的帕累托所发现的那样,最贫穷的阶层占有最大的人口比例。

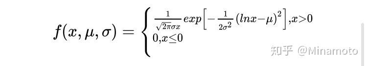
许多学者指出财富的分配形状与对数正态分布类似,而不是与幂律分布类似,对数正态分布的密度函数为:

顾名思义,就是把X取了个对数之后就变成正态分布的分布函数。

图像如下:

即类似于正态分布,双边拖尾,但是头朝左。头朝左被称作“右偏态”,即平均数小于中位数,尽管最穷的穷人和最富的富人都很少,但最富的富人的财产与中间阶级的财产的差距大于中间阶级与最穷穷人之间的财产差距。

尽管看上去很像,但如果我们就单纯说因为这个分布长得像社会财富的分布现状,那么社会财富的就服从这个分布,那么现在的学者和19世纪的帕累托先生又有什么不同呢?

因此,我们必须分析出其中的原理,而其中的原理也十分简单。

我们假定一个人财产的增量与其已经所有的财产成正比,即我们之前说过的马太效应,这个原理在无标度网络的介绍中也有运用(新的节点接入旧节点i的概率与i的度数成正比)。

这样,可以假设一个人的财产是X,那么下一时刻我们就认为财产增加到原来的C倍,也就变为CX。

与之前不同的是,我们把C视为是一个随机变量,这个随机变量不妨认为就是本事和运气的叠加。每一时刻的运气时好时坏,运气可以被视为是相互独立的,即上一时刻的运气和下一时刻的运气没有什么关系,而人的本事大小长期来看可以认为是基本不变的,因此,C可以姑且视为是独立同分布的。

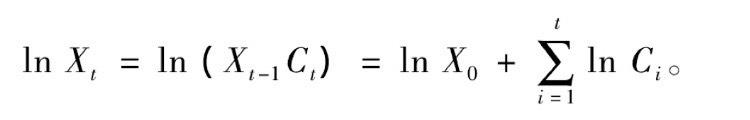
这样,一个人的财产就可以写成:

X0表示他初始财产,而Ci则是连乘符号。

如果我们取个对数,就变成了:

如果Ci是独立同分布的随机变量,那么我们可以使用独立同分布的中心极限定理,这样,我们就会发现右边服从正态分布。

所以,财产取个对数就变成正态分布,故某人在t时刻后的财产服从对数正态分布。

中心极限定理很多朋友都不陌生,但考虑到很多朋友概率论学的不是很好,故稍加介绍:

翻译成大白话就是说,如果有一个随机事件,有p的概率发生,有1-p的概率不发生,那么重复n次这个随机事件,n足够大时,其发生的总次数服从正态分布。

比如,我掷硬币n次,当n足够大时,其中正面朝上的次数就会近似服从正态分布。平均值,也就是说正面朝上的次数在n/2左右的几率最大,而偏离均值越远,比如n次全部都几乎是正面的几率就很小。

这个道理甚至不止对掷硬币这件事成立,如果你掷n次骰子骰子,然后记下出现1的次数,也服从正态分布,事实上中心极限定理对于任何独立同分布的重复事件都成立。

事实上,这和幂律分布的本质是无标度网络是相似的,中心极限定理是自然界中为什么有那么多正态分布的原因。

财富增长过程中关于“运气”的叠加也是同理,一直都是好运的概率没那么大,一直都倒霉的概率也比较小,如果Ci之间是独立同分布的,那么Ci的加总就会服从正态分布。

机智的朋友可能已经意识到了,Ci不一定独立同分布呀,事实上,中心极限定理对独立不同分布但方差有限的随机变量也成立,朋友们可以自行查找—“独立不同分布的中心极限定理”。

此外,中心极限定理对于渐进独立的平稳鞅差分序列也成立,渐进独立仅仅要求你之后的运气会和之前的运气关系越来越小趋近于零,比如,我这个月由于运气好炒股的收益率大增,肯定会影响我下个月炒股的收益率的多少,但是对10年后的某个月炒股赚钱的收益率可能没什么影响。

现在我们知道,一个人一定时期之后的财产的各种可能性是服从对数正态分布的,而一个社会的私有财产无非是一个个人的累加,众所周知,正态分布具有累加性,即两个正态分布的和也是正态分布,这样,自然而然,全社会的各个财产的对数的人所占的比例一定也服从正态分布。

这就是财产服从对数正态分布的背后逻辑。


现在,我们提到了两种马太效应,一种是无标度网络的幂律分布的马太效应,另一种是随机过程的对数正态分布的马太效应,那么这二者有什么不同呢?

这种差异主要体现在两个方面,第一,无标度网络模型中,总的度数与节点数的增加比是固定的,比如每增加一个点,就选择与原来一个点相连,这样,线条的数量总会与点的数量相同(具体来说是等于点数-1的)总的度数总会是点数的两倍。

而在对数正态分布模型中,财富的增长和人口的增长没有固定的比例关系,一个人运气好财富增长过快,不会必然地导致别人的运气变差。而在无标度网络中,新来的C点如果连接了原来的A点,那么就会导致接下来B点连接新点的概率降低。

幂律分布的模型的每个时期度数的增加都像是个“零和游戏”,而对数正态分布则不然,每个时期总财富的增加是个随机变量。

第二,上述无标度模型中的各个节点没有差异性,新来一个点,一定会和原来的一个点相连,这样一个点和另一个点,除了新来和后来之外没有任何本质上的差别。

而人生来就是有差别的,在步入社会开始挣钱的时候则已经是天差地别了,而在无标度网络的模型下,所有新来的点都是连一条线,这就相当于所有刚开始工作的人本事和起始工资都一样。

这样,在无标度网络中,新接入的节点一定是度数最少的节点,一定会是最穷的人,而在随机过程模型中,只有既是新来的而且又没有本事,运气还差的人才会是最穷的。

那么现实生活中的财富分布,究竟是哪一种情况呢?当代社会中幂律分布的描述存在着的显而易见的误差,在前面段落中已经被指出来了,但对数正态分布也并不是完全合理的。

对数正态分布的左侧会迅速收缩至零点而右侧收缩的速度则比较慢,而事实上马云爸爸的数量并不是很多,故一般认为财富的右侧长尾是近似服从幂律分布的。

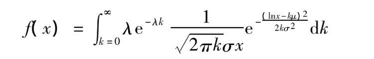
对此,Reed提出了对数正态分布中没有考虑到的时间问题,不同的人进入社会开始挣钱的时间是不同的,而这个时间的长短不是服从正态分布,而是服从指数分布,因为在多数国家,人口和劳动力的数量在持续增加,这个增加在较短的历史中一般被认为是指数的,这样,新来的劳动力占的比例才是最大的。

既然几十年内的人口增长可以视为是指数的,那么随机取一个人,他开始挣钱的时间就满足指数分布,我们知道指数分布的形式为:

而对数正态分布的参数可以设置为:

分别表示取了对数后,服从的正态分布的期望和方差

接下来令T=k,不难得到这样一个分布,

这就被称作双帕累托对数正态分布,长成这样:

它既具有幂律分布的长尾,也具有对数正态分布的偏峰,当然,它看上去像左边一个幂律分布和右边一个幂律分布的合体,所以又被称作双帕累托对数正态分布。

这一分布对于财富分配状况的拟合是较为理想的。


我们知道,当代的财富分配结果双边拖尾的,而帕累托在19世纪的时候只注意到了右边一个尾,没有注意到左边的那一个。

彼时的数据统计并不丰富,但众所周知,单边幂律分布的错误是非常容易被注意到的,可以认为就是当时的无产者作为一个共同的阶级被剥削地极其悲惨,以至于双帕累托分布的形状非常的扁平。

这样,帕累托就注意不到在劳动阶级内部中出现的分化,比如,如果社会最底层一群劳动者的每个人财产是10磅,而另一群劳动者每个人的财产是11磅,帕累托就很容易会把这两群人当成是一群人,于是把这二者一加总,就得出了收入最低的人群人数最多的幂律分布。

而在现代社会,即使在无产阶级之间,也出现了巨大的收入分化,即有人月收入4000左右,有人月收入1000左右以至于领低保,而收入4000左右的人可以和收入1000的人区分开来,而且会发现收入4000的人比收入1000的人多。

帕累托的这种观察和当时的社会情况相符合,当时不同种类的工厂的工人收入差距并不大,而现在,不同工种的工薪阶级收入差距也是巨大不可忽视的,换言之,收入和财富的分布形状已经发生了巨大的变化,不仅有长尾,而且有尖峰。

双帕累托对数正态分布在左侧尖峰处与对数正态分布相符合,在右侧与幂律分布相吻合。考察劳动者和资本家的赚钱方式,你就能更加深刻地理解这一原因:

劳动者出卖劳动以获取收入,而且处境受偶然事件影响巨大,不同的人的才干也大为不同,不同的人即使对教育进行同样数量的投资,其最后的产出和工资水平的最终差异也会十分巨大,单纯的劳动产出之间往往不存在着直接的零和竞争游戏,不会出现一个劳动者多生产了就会导致另一个劳动者生产能力降低。

而资本家则不同,资本的收益往往是争抢的,短期零和的,同样的产业之间存在竞争关系,而越集中的资本,其竞争和盈利的能力就越强,资本的累积量和集中程度主要取决于时间,这和无标度网络的节点是类似的。

富有的原因总是相似的,而穷人则各有各的穷法。

同时,这也说明了幂律分布并不是自然界的铁律,随着时代的进步,财富分配的状态随时都在改变,劳动者开始分化,峰也逐渐变厚,单侧幂律分布只是早期资本主义时的情况而已,它是资本剥削规律的结果而不是对产出和贡献的报偿,自然,没有理由认为财富的分布会永远遵循二八法则。


reference:Reed W Jorgensen, The double pareto lognormal distribution。

方正,王杰《自然与社会环境中的幂律现象和双帕累托对数正态分布》

编辑于 2020-05-07 16:37