添加链接
link之家
链接快照平台
  • 输入网页链接,自动生成快照
  • 标签化管理网页链接

用量化交易策略炒股,能赚钱么?

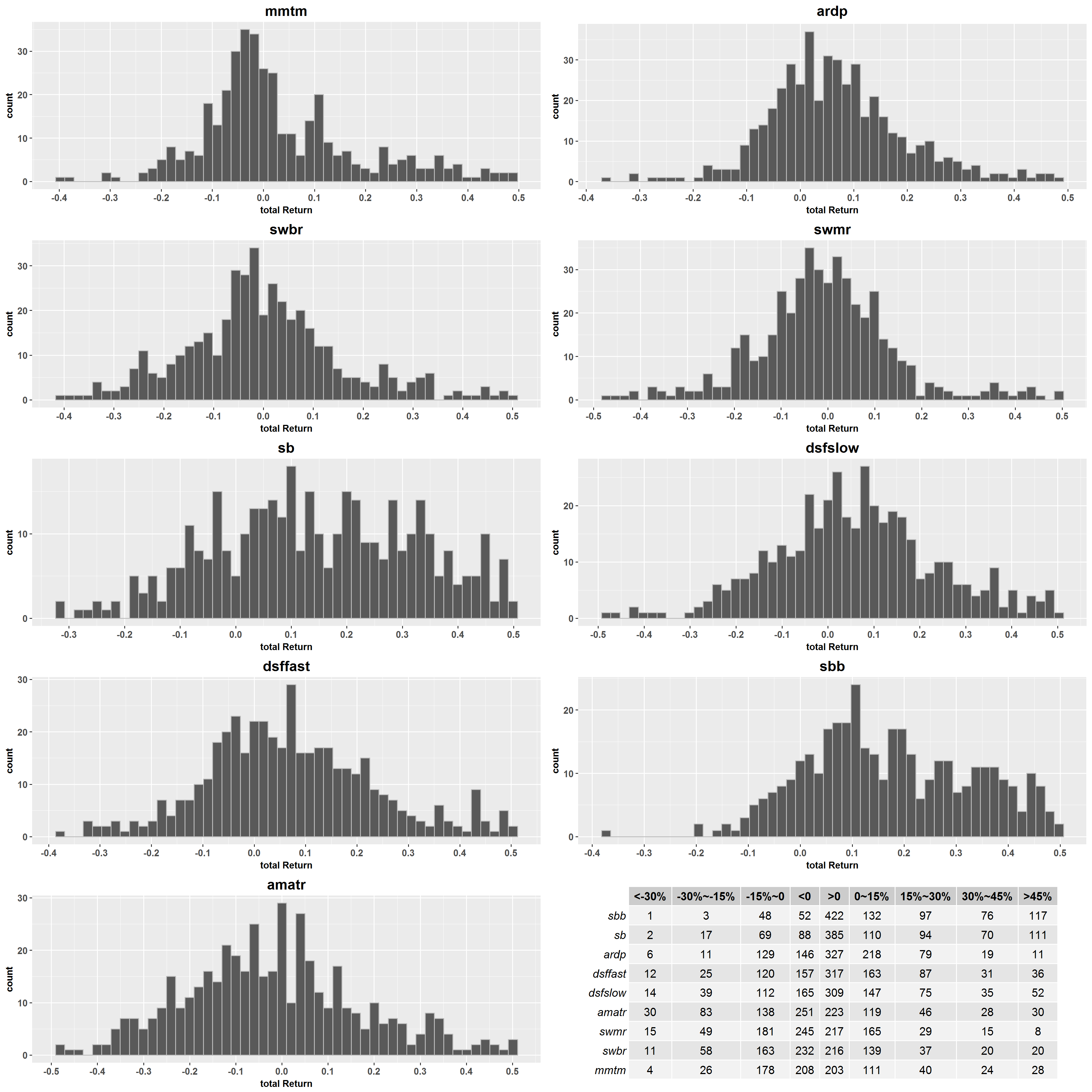
我们用量化交易策略对500只港股(通)进行历史回测(2016-09-30至今),累计收益分布如下

横坐标是累计收益,纵坐标是股票公司数量(约500只),一种九种策略,三种反转类6种趋势类(包括动量和突破)。

表现最好的是sbb策略,接近90%的股票都获得了正收益(盈利),其中有20%的股票收益超过了45%(2017年港股牛市)

表现差的如趋势突破类的swbr,只有接近一半股票是正收益,获得高收益的股票数只有20只。


从统计图可以看出,好策略是可以赚钱的,普通策略则很难赚到钱。同时,单看几只股票用某个策略的回测是否盈利是不靠谱的。最好做全市场的扫描,以此获得全面的统计数据。


我们对sbb策略做了5年的历史回测,结果跟上图也表现一致。目前该策略已经投入实战,请大家专注我们的公众号——“云算股市”


感谢您的阅读,欢迎交流!

发布于 2018-03-19