添加链接
link之家
链接快照平台
  • 输入网页链接,自动生成快照
  • 标签化管理网页链接
【数据分享】1950-2022年我国省市县三级逐月平均气温数据(Shp格式)

【数据分享】1950-2022年我国省市县三级逐月平均气温数据(Shp格式)

之前我们分享过1950-2022年逐月的平均气温栅格数据以及Excel格式的数据( 均可查看之前推送的文章 ),该数据来源于欧盟及欧洲中期天气预报中心等组织发布的ERA5-Land数据集!很多小伙伴拿到数据后还咨询我们有没有矢量(.shp)格式的数据!

今天我们就来分享shp格式的1950—2022年的我国省市县三级的逐月气温数据! 该数据是基于栅格格式的气温数据,依据行政边界数据(包括全国省份行政边界、地级市行政边界、区县行政边界),统计行政边界内气温栅格的平均值得到的!以下为数据的详细介绍:

01 数据预览

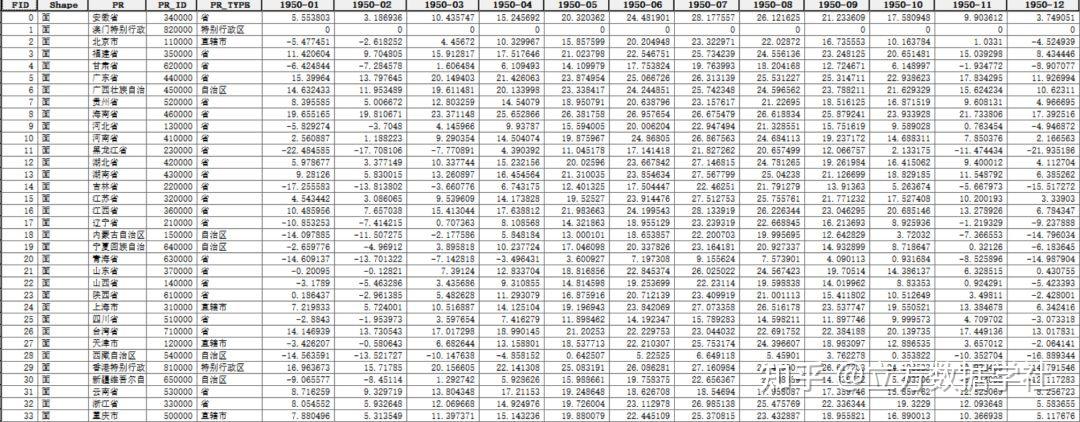
1.省级1950-2022年逐月平均气温数据

33个省级区划的1950-2022年逐月的平均气温汇总在一个Shp文件中,下面我们以2022年12月为例来预览一下:

2022年12月各省平均气温
1950-2022年各省逐月平均气温的属性表

2.市级1950-2022年逐月平均气温数据

369个地级市的1950-2022年逐月的平均气温汇总在一个Shp文件中,下面我们以2022年12月为例来预览一下:

2022年12月各市平均气温
1950-2022年各市逐月平均气温的属性表

3.区县级1950-2022年逐月平均气温数据

2791个区县的1950-2022年逐月的平均气温汇总在一个Shp文件中,下面我们以2022年12月为例来预览一下:

2022年12月各区县平均气温
1950-2022年各区县逐月平均气温的属性表

02 数据详情

原始数据来源:

欧盟及欧洲中期天气预报中心等组织发布的ERA5-Land数据集 ,网站为:

cds.climate.copernicus.eu

ERA5-Land数据集提供了多种气象数据的下载,包括2米空气温度、2米露点温度、湖冰深度、积雪深度、总降水量、地表径流等,大家可以自行探索!

数据处理说明:

基于原始的逐月气温栅格数据,我们对每个省\每个地级市\每个区县内的栅格值进行了求平均数处理,得到了省市县三级的逐月平均气温!省市县行政边界数据来源于“数读城事”公众号!

2m空气温度概念说明:

该数据的温度是指2m空气温度! 2m空气温度是指陆地、海洋或陆地水域表面以上 2m 处的空气温度。2m温度是通过在最低模型层面和地球表面之间进行插值来计算的。

数据单位:

官网下载的数据单位为开尔文(K),我们在原始数值上减去 273.15 将单位转换为了 摄氏度 (°C) ,该算法为数据网站提供的算法。

数据格式

Shp

时间范围

1950年1月-2022年12月(逐月)

空间范围

省、市、县三个等级

数据说明:

除澳门特别行政区和三沙市,33个省级行政区、369个地级及以上城市的1950-2022年逐月平均气温数据均无缺失。

共整理出2791个区县及以上城市的1950-2022年逐月平均气温数据,

有86个区县行政单位没有统计在内,分别是淮南市的八公山区;澳门特别行政区的大堂区、风顺堂区、花地玛堂区、花王堂区、嘉模堂区、路凼填海区、圣方济各堂区、望德堂区;北京市的东城区、石景山区;福州市的台江区;泉州市的金门县;厦门市的思明区;漳州市的龙文区;临夏回族自治州的临夏市;广州市的荔湾区、越秀区;汕头市的龙湖区、南澳县;湛江市的霞山区;桂林市的的叠彩区;三沙市的南沙区、西沙区;沧州市的新华区;石家庄市的桥西区;安阳市的北关区、殷都区;焦作市的解放区、开封市的顺河回族区、禹王台区;洛阳市的瀍河回族区、西工区;许昌市的魏都区;鹤岗市的工农区、向阳区、兴山区;佳木斯市的前进区;黄石市的黄石港区、铁山区;武汉市的江汉区、武昌区;宜昌市的西陵区;邵阳市的双清区、长沙市的芙蓉区;辽源市的西安区;南京市的建邺区、秦淮区;苏州市的姑苏区;徐州市的泉山区;景德镇市的珠山区、九江市的浔阳区;南昌市的青云谱区、西湖区;鹰潭市的月湖区;大连市的西岗区、长海县;锦州市的凌河区、辽阳市的白塔区、沈阳市的大东区、和平区;营口市的站前区;西宁市的城西区;青岛市的市南区;阳泉市的城区和矿区;西安市的碑林区;上海市的虹口区、黄浦区;天津市的和平区、河北区、河西区;香港澳门特别行政区的东区、观塘区、黄大仙区、九龙城区、葵青区、离岛区、南区、深水埗区;湾仔区、西贡区、油尖旺区;温州市的洞头区;舟山市的嵊泗县;重庆市的渝中区。

由于甘肃省的嘉峪关市、广东省的东莞市和中山市、海南省的儋州市不设区县,所以县级行政区划的数据中直接将四个地级市的数据作为区县数据整理在内。

03数据获取

发布于 2023-03-04 10:53 ・IP 属地江苏