添加链接
link之家
链接快照平台
  • 输入网页链接,自动生成快照
  • 标签化管理网页链接

电池管理论文解读 冬奥助力(第二篇):非对称温度调制实现锂离子电池极速快充

转载自【 储能AI
【大可Offer】
---原作者 Energy海 申请+学术信息共享为主
原文链接: 冬奥助力(第二篇):非对称温度调制实现锂离子电池极速快充

基于现场数据和机器学习预测太阳能离网系统电池寿命 冬奥助力(第二篇):非对称温度调制实现锂离子电池极速快充 基于现场数据和机器学习预测太阳能离网系统电池寿命


6W带你快速抓取Joule论文要点

6W带你快速抓取Joule论文要点




能否在10分钟内增加200英里续航里程,也称之为极速快充(extreme fast charging,XFC),是主流大众是否接受纯电动汽车的关键。 宾夕法尼亚州立大学学者提出一种非对称温度调制(asymmetric temperature modulation,ATM)方法 将锂离子电池快速加热到60℃的高温下进行充电,以消除析锂;同时限制电池暴露在60℃的时间不超过10分钟,以防止严重的固体电解质界面膜(SEI)生长 。充电和放电温度的不对称为提高充电过程的动力学和传输性能并实现电池长寿命开辟了一条新的途径。实验结果表明,采用ATM方法,一个9.5 Ah 170-Wh/kg的电池在持续1700个XFC循环后容量损失为20%,而更高能(209 Wh/kg)的BEV电池在2500个XFC循环后,容量保持为91.7% (如下图所示)。




充电前将电池从低环境温度加热到室温(room temperature, RT),可以使9.5 Ah、170Wh/kg石墨/NMC622电池在低至-50℃的情况下,3.5 C持续充电不析锂。然而,同样的电池在6C倍率下 极速快充(XFC),导致电池出现严重的析锂和急剧的容量衰减。进一步提高电池温度可能是抑制XFC下析锂的潜在有效方法。由于电池内部物理化学(电化学)过程的关键参数都与温度高度相关,且遵循阿伦尼乌斯定律(Arrhenius law,如下图A),例如, 当电池温度从20°C升高到60°C时,石墨负极嵌入动力学速率提升了13倍,负极石墨固相扩散系数提高了5.6倍,电解液导电率提高了1.9倍,故提升温度可以缓解甚至消除析锂 。然而,随着温度的升高,固液界面膜(SEI)的增长速度加快,导致9.5 Ah石墨||NMC622电池的循环寿命从RT时的2000多次循环下降到60℃时的250 次。因此,人们普遍认为,由于析锂和SEI生长之间的相互作用,锂离子电池在RT左右具有最佳的寿命,因此应该避免在高温下工作。但事实上, 美国能源部(US DOE)发现,在XFC过程中,开发新的冷却方法以最大限度地降低电池温升才是解决该问题的突破口




作者致力于提出一种新方法,在确保XFC下,锂离子电池具有良好的循环寿命的同时,又能大大减少XFC期间的电池冷却需求。 解决该问题的核心思想在于如何解决高温下电池充电性能优异和电池寿命加速衰减的矛盾 。为此,作者提出一种非对称温度调控(ATM)方法,将电池在高温 TH 下(如下图B)进行充电来避免析锂,同时控制电池暴露在高温 TH 下的时间只局限在快充期间,意味着一次循环大概10分钟。由于SEI的生长依赖于时间,短的暴露时间 TH 阻止了致命SEI的生长,从而能有效地控制电池衰退。作者选择了两种批量生产的工业电极,以证明这种ATM方法在不需要新材料的情况下实现XFC的可行性。第一种是9.5Ah、170 Wh/kg 石墨||NMC622软包电池,控制电池在60℃充电,在室温下放电,持续进行1700次6C充电至80%SOC后,电池容量损失20%。相比之下,同类型电池在室温下直接以6C充电,只有60次循环寿命。与此同时,作者发现, 提高充电温度可以降低电池6C充电过程中12倍多的冷却需求 ,因为电池内部产生的热量较小,同时由于电池和环境间的较大温差驱动更强的散热。第二种是BEV型电极,负极loading为2.94mAh/cm2、能量密度为209 Wh/kg的35Ah电池。使用ATM时,电池在6C充电至80% SOC后,C/3放电能量为167Wh/kg,接近美国DOE目标(180 Wh/kg)。惊喜的是, 带有ATM的BEV电池表现出了出色的循环性能,在2500次XFC循环后,容量损耗仅为8.3%,远远超过了美国能源部的目标(500次循环,损耗20%)




为了将电池快充时间控制在10分钟左右,电池加热速度是一个关键因素。传统的外部加热法温升速率基本小于1℃/min,意味着光给电池加热的时间就要超过10分钟。为此,作者采用了该团队4年前提出的一种可自加热的全气候锂离子电池( 冬奥助力(第一篇):低温下可自加热的锂离子电池——全气候电池 ),该电池能够在极短的时间内将电池温度升高(工作原理如下图)。




下图C-E显示了9.5Ah、170 Wh/kg 石墨||NMC622软包电池在ATM方法下极速快充循环时的电池电压、电流和温度的变化曲线。从图E可以看出,电池从21℃加热到45℃(设定温度)只需30秒(温升速率0.8℃/s)。达到设定温度后,采用6C充电,电压限制在4.2V,充电至80%SOC的时间是503秒(包括加热时间),约8.4m分钟。随后,电池在开路状态下静置10分钟,再1C恒流放电至2.7V。可以看出,电池在开路和放电期间, 即使没有强制对流散热,其温度依然快速下降。充电和放电期间的平均温度分别为49℃和28℃,清楚地显示了充放电温度的不对称性




该方法具备以下优势:

  1. 通过提高充电温度,降低了电池的冷却需求
  2. 较高的充电温度消除了析锂问题,从而提高了电池寿命
  3. 有限的高温暴露时间使SEI生长缓慢
  4. 低BET面积的高能电池,循环寿命更高


01 降低冷却需求

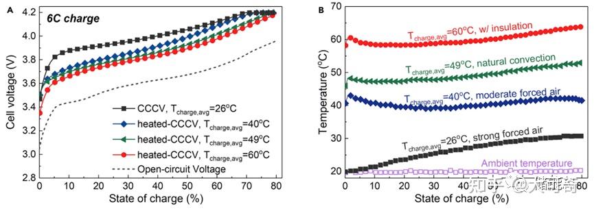
下图A是PHEV电池分别在不加热,以及加热平均温度为40℃、49℃和60℃下,CCCV(6C,4.2V)的电压曲线图,图B是为了在充电过程中达到相对恒定的温度所采用的降温策略。可以看出,即便使用风扇对电池施加强气流,电池的温度依然升高10℃以上。有趣的是,随着充电温度的升高,对冷却的需求却大大减少。图C红线可以看出,4块PHEV电池的 冷却需求随平均充电温度的升高呈指数衰减 。造成该现象的原因有二:其一,电池随着温度的提升,电池内阻下降,产热率随之大幅降低(图C蓝线);其二,电池与环境的温差随温度的提升而增大,因此整体降温需求也随之减少。此外,在高温充电时,充电时产生的热量减少,部分补偿了充电前电池预热的能耗,如下图D所示。






02 消除析锂

4块电池在在不同温度下充电至80%SOC后的静置期间,电压曲线如下图A所示,可以看出在26℃和40℃时,出现电压平台,即意味着dQ/dV曲线出现局部峰值,表明电池充电过程出现了析锂。而 随着温度的提升,电压平台消失,dQ/dV峰值不可见,说明析锂问题得到了缓解







随着电池温度的升高,循环寿命显著提高(如上图B),这主要是由于析锂得到了缓减。为了证实这一点,作者拍摄了4块老化电池的石墨负极的光学照片和扫描电子显微镜(SEM)图像,下图G和H分别为26℃和60℃下的图像,可以看出26℃下的电池正极表面有大面积的颗粒覆盖,而60℃下的正极表面则很光滑,只有少量的颗粒。




为了进一步确认常温电池中Li金属的存在以及60℃中析锂的消失,作者利用x射线光电子能谱(XPS)对电池进行测试,结果如下图所示。从上到下的曲线为基于SiO2,溅射速率为30 nm/min,溅射0、2、4、6、8和10 min后的Li 1s光谱。两种情况的顶部曲线在约55eV处有一个峰值,这与Li盐有关,表明顶部表面被SEI覆盖。从第二条曲线开始,26℃电池在约51.5 eV处出现了新的峰值,对应金属Li的出现,而60℃电池则没有出现新的峰值。




过去,人们普遍认为锂离子电池应该避免在高温中运行,因为担心这会加速电池的副反应,如严重SEI生长和盐分解。但从前面的结果中可以看出, 随着充电温度的升高,循环寿命显著提高,这与传统思维相反,表明在高温下减轻析锂的好处远远大于XFC环境下加重的副反应所带来的负面影响 。实际上,由于在高温下暴露的时间有限,60℃电池中P和F浓度只有微小的增加(如下图),说明LiPF6电解质分解也得到了有效控制。



03 SEI生长缓慢

为了进一步了解温度对析锂和SEI生长之间的相互作用,作者尝试分解XFC循环期间的容量损失。作者将基于ATM方法的XFC循环下的3个PHEV电池(记为ATM电池)与3个常规循环的相同类型电池(1C充电1C放电,记为基准电池) 在不同温度(40℃, 50℃和60℃)下进行比较。很多研究表明,SEI在特定温度下的生长主要依赖于时间因素,利用这种依赖关系可以拟合出电池的容量保持(CR)曲线。更有Dahn等人的研究表明,如果SEI的生长是主要的老化机制,那么在相同的温度下,电池的CR时间曲线将与循环速率无关,曲线的偏差表明的是析锂情况。基于该原则,作者比较了ATM和基准电池的时域CR图(下图A-C)。从图C中可以看到,在60℃下的前160个小时的循环过程中, ATM和基准电池的CR曲线基本重合,意味着在60℃下6C充电没有出现析锂 。随着充电温度的降低(下图A和B), ATM电池的CR下降速度比基准电池快得多,反映了在较低的充电温度下析锂更加严重。根据Dahn等人的研究,在这些数据中,每个基线电池的容量损失都可以被视为在特定温度下SEI诱导的损失,ATM和基线电池的差异反映了析锂诱导的损失。




下图D-F比较了ATM和基准电池在不同温度下,基于等效全区间循环(equivalent full cycle,EFC)的CR曲线。从图F可以看出,在60℃时,1C充放电仅在250次循环后,容量损失就达到了20%,相比之下, ATM电池6C充电过程却能够进行1200次循环,表明其优越的循环性能 。实际上,ATM方法每次循环只将电池暴露在高温下10分钟,或7天/1000个循环。根据美国人平均每年行驶13476英里的统计数据,假设一次快速充电可以增加200英里的行驶距离,那么1000次循环就相当于20万英里的行驶距离,也就是14.8年的运行时间。换句话说, ATM方法将BEV暴露在高温下的时间只有其寿命的0.1%(14.8年中的7天)




04 高能电池寿命更长

随着析锂问题的消失,ATM电池老化主要是由于电池在60℃充电10分钟过程中的SEI增长所致。因此,减缓SEI在高温下的生长是进一步提高电池寿命的关键。根据Dahn等学者研究, SEI诱导的容量损失与负极比表面积或Brunauer-Emmett-Teller(BET)面积成正比。因此,本文作者选择了BEV类型的石墨负极,其BET面积为1.5 m2/g(PHEV的负极面积为3.9 m2/g),负载(loading)2.94 mAh/cm;选用LiFePO4(LFP)包覆NMC532的BEV型正极,负载(loading)2.55 mAh/cm,利用自热锂电池结构制备了10.5Ah软包电池。在平均温度约61℃下进行CCCV充电,截止电压4.15V。电池每50次循环进行一次容量衰退校准实验。在每50个连续XFC循环的第一个循环中,电池充满至80%SOC后,以C/3倍率放电至2.7V,用于量化极速充电的比能量,这个比能量是美国能源部提出的用来评价电池快充能力的一个关键指标。


从下图A和B可以看出, BEV电池依然保持着良好的无析锂状态,并有着超长的循环寿命 。由图A可以看出,相比前面PHEV电池的CR曲线,BEV电池的容量衰退速率明显放缓(循环300个小时后的容量损失分别为,BEV:5.5%;PHEV:19.7%)。图B则表明BEV电池在循环2500次以后,容量依然保持在91.7%。随着电池老化,充电至80%SOC的时间有略微的增加,但充电时间不超过12分钟(下图C)。美国能源部(DOE)在XFC上的首要目标是电池从寿命初期(BOL)开始的快速充电比能为180Wh/kg,容量损失20%的循环寿命要超过500次。图D说明 该方法显然已经远远超过DOE目标要求




作者 创新性地提出了非对称温度调制策略,解决了电池极速快充与长寿命的矛盾,实现了10min无析锂极速快充、且SEI膜增厚少、电池寿命长,远远超过了美国能源部制定的快充目标 ,为电动汽车的推广应用做出巨大贡献。作者提出的非对称温度调制思想,有望启发电池领域其他矛盾问题的解决。


参考论文: X.G. Yang, T. Liu, Y. Gao, S. Ge, Y. Leng, D. Wang, C.Y. Wang, AsymmetricTemperature Modulation for Extreme Fast Charging of Lithium-Ion Batteries.Joule 3, 3002-3019, (2019), doi.org/10.1016/j.joule .

论文版权归作者和出版社所有,感兴趣的请在公众号留言


附录深度学习相关博士机会:





读PhD可以变成一项年薪30W+的 甜蜜 工作,参见:



关于职位类PhD申请的一般流程和注意事项请参考:




编辑于 2022-03-08 19:56

文章被以下专栏收录