添加链接
link之家
链接快照平台
  • 输入网页链接,自动生成快照
  • 标签化管理网页链接

动力电池SOC估算方法综述

  • SOC概念
    动力电池荷电状态 SOC 即为当前电池残余电量,一般有



  • 锂电池结构原理



  • 充电过程锂电池内部反应示意图



  • 放电过程锂电池内部反应示意图



  • 不同正极材料的锂离子电池性能对比



  • 锂电池的参数特性
    1 电压特性锂电池的电压分为三种:电动势、OCV(Open Circuit Voltage-开路电压)、工作电压。电动势定义为锂电池正负极的平衡电位差,电动势与 SOC 有直接联系,但是难以直接测量;工作电压指的是端电压;OCV 指的是锂电池在断路条件,内部无化学反应时的端电压。由于电池内部的极化效应,锂电池断开负载电路时,电池端电压会逐渐降低。当电池内部无化学反应,端电压达到平衡,此时的端电压值为 OCV,理论上其值等于电动势。因此,OCV 可作为 SOC 估计中的一个重要参数。在电池工作过程中,如果实际工作电压高于额定电压过多,充电时正极的锂离子将过度逃逸至负极,堆积的锂离子不能及时嵌入负极活性材料中,在增加短路风险的同时还会破坏晶格结构的稳定性,会发生安全隐患;当实际工作电压长时间低于电池设计的截止电压时,电池负极的碳元素集流体在放电时可能出现分解,从而导致电池漏液。所以在对锂电池进行研究时,前提是必须保证电压处于正常区间内。

2 内阻特性
根据通过电池两端的电流类型,可将电池的内阻分为直流内阻与交流内阻,交流内阻需要通过交流内阻仪测量。对于直流内阻,可分为欧姆内阻与极化内阻。锂电池的极化效应指的是当电池有电流通过时,由于内阻的存在导致电池的两极电势不平衡现象。根据极化效应产生的原因,可分为以下三个方面:
欧姆极化:由欧姆内阻引起的一种瞬时极化效应,是电解液、隔膜电阻、电极材料以及接线之间的电阻所引起的极化现象。
电化学极化:也为活化极化,是由于正负极活性物质发生的电化学反应速率小于电子运动速率引起的极化,响应时间为微秒级。
浓差极化:是在电池在实际工作中,将消耗电极上的反应物,造成电极电势处于非平衡状态。
3 容量特性
锂电池的容量分为:额定容量与实际容量。额定容量指电池出厂时可放出的电量;实际容量指在电池实际工作中,在 SOC=1 时所能放出的全部电量。电池的实际容量主要受环境温度、充放电倍率、使用寿命等因素的影响。
(1)温度对电池容量的影响
随着温度的升高,电池的活性物质活性增强、电子扩散速率增加、电导率增加,电化学反应加快,电池所能放出的能量增加。
(2)循环寿命对电池容量的影响
随着电池循环次数的增加,活性锂离子减少、负极上钝化膜的形成等电池内部变化都将导致电池的容量减小。
(3)放电倍率对电池容量的影响
放电倍率的单位为 C,1C 指电池在 1h 内进行恒流放电,放完所有电量所需要的电流大小

  • 电池模型
    电池模型特点对比




1 电化学模型

(1)准二维模型
准二维模型是一种适用于恒流、绝热系统的电化学模型,最早由 DOYLE 等提出。模型将锂离子电池等效为由无数球型固相颗粒组成的电极(正极和负极)、隔膜及电解液组成的三明治结构,如图 所示。但由于电池 P2D 模型过于复杂,计算量大,且无法获得其解析解,因此,P2D 模型更适用于实验室研究,用于辅助分析锂离子电池的衰减老化机制及诊断其状态,以及通过仿真模拟为锂离子电池的优化设计(如材料颗粒设计、扩散系数调整方向等)提供理论支持




(2)单粒子模型

单粒子模型是最简单的锂离子电池电化学模型,它是 P2D 模型通过简化而来。如图示,单粒子模型采用两个球型颗粒分别表示锂离子电池的正极和负极,假设锂离子的嵌入脱出过程发生在球型颗粒上,且认为电解液的浓度及其内部电势恒定不变。单粒子模型结构简单,计算量小,容易实现在线应用。目前,单粒子模型主要应用于锂离子电池的荷电状态诊断研究。但同时锂离子电池单粒子模型存在一些不可避免的缺点,即在大倍率充放电条件下,模型的假设是不合理的,因此导致仿真偏差过大。




2 等效电路模型

(1)Rint 模型

Rint 模型只能等效出电池的静态过程。



(2)Thevenin 模型

从 Thevenin 的构成可以发现,该模型是在 Rint模型的电路上增加了一个 RC 网络,如图所示。并联一阶 RC 网络后,Thevenin模型则考虑了 Rint 模型未考虑的电池极化效应的影响,因而更真实的展现出电
池充放电过程中电压、电流的瞬态与稳态特性。




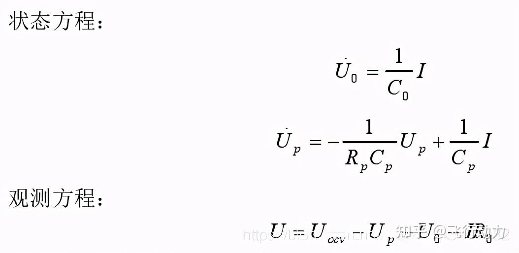
(3)PNGV 模型

PNGV(the Partnership for a New Generation of Vehicles)模型是由《PNGV 电池试验手册》提出的等效电路模型,其原理图如图 所示。



由 PNGV 等效模型原理图可列写出模型的状态方程以及观测方程:




(4)二阶 RC 等效电路模型

为进一步研究极化效应内电池参数的动态变化,有部分学者大胆创新的将Thevenin 模型做更细微的研究,即在 Rint 模型结构基础上增加两个 RC 网络,二阶 RC 网络模型结构如图 所示




(5)GNL 模型
GNL 模型考虑了电池的电化学极化,浓差极化和自放电的影响。用 R1,C1 来表示充放电反应中的电化学极化现象,用 R2,C2 来表示表示充放电反应中的浓差极化现象,用电阻 Re 来表示电池的自放电过程。由于模型的结构更接近于锂离子电池的内部特性,因此不仅对锂离子电池的倍率响应特性具有较好的仿真效果,而且其适用性更广且仿真精度更高。但是由于 GNL 模型未知的参数较多,参数的确定也很复杂,所以目前状况下很难在实际中应用。




神经网络模型
神经网络是计算机模拟人脑神经工作方式建模的智能算法,在处理和传递电池信息的方式上和人脑的突触神经元工作性质相似。神经网络可将不同的电池信息(如电流、电压和温度)联系起来并进行整合,以供分析。输入层、输出层和隐藏层是神经网络模型必不可少的三大组成部分。对于动力电池系统,神经网络模型的输入层是收集的电池信息,如电流、电压和温度,通过神经网络内的综合分析,最终得到电池荷电状态等预测数据。神经网络模型具有较强的关联性、自学习性及容错性,对于外部输入的激励,该模型都能输出响应,在处理非线性系统问题时神经网络模型表现优异。




电化学模型

电化学模型的作用原理是通过四个复杂的偏微分方程描述电池的固相、液相维持特性及电池参数的变化特性。

- 动力电池模型参数辨识
锂电池模型的参数辨识主要分为两种:离线辨识与在线辨识。其中,离线辨识主要用于模型初始参数估计,此时锂电池没有进行工作,通过获取的实验数据,用特征指数拟合各基本参数的响应曲线,来辨识静态条件下的锂电池模型各项参数;在线辨识则要复杂许多,主要针对实时工作的情况,此时各项参数在实时变化,需要在线辨识算法对数据进行实时计算和更新

- 锂电池 SOC 估计方法




(1)直接估计法
OCV 是指电池在完全静置时,正负极之间的电压。
开路电压法的一个明显缺点是:需要将电池静置直至电池内部化学反应停止,所测得的端电压才近似等于 OCV,因此该方法不能满足SOC 估计的实时性。

(2)滤波法
滤波法主要是应用卡尔曼滤波理论进行 SOC 估计,卡尔曼滤波采用电池的数学模型来建立状态方程与观测方程,然后根据最小均方的思想,最小化估计值与观测值的均方误差来更新系统的参数,实现最优估计。
(3)数据驱动法
由于锂离子电池内部是一个复杂的电化学机理模型,所以其内部参数与 SOC之间的关系也尤为复杂,具有非线性、动态时变的特点。数据驱动法不需要关注电池的内部机理,而是利用机器学习算法离线训练得到电池外部数据(电压、电流、温度等)与 SOC 之间的映射关系,然后将实测数据代入模型计算得到 SOC 估计值。常见的机器学习算法有:模糊逻辑、神经网络(Neural Network, NN)、支持向量机、线性回归等。数据驱动法不需要复杂的数学建模过程,直接通过数据自主学习映射关系,模型建立简单,模型准确度高。但是数据驱动法也存在诸多问题,如 NN 模型中,参数寻优过程中容易陷入局部最优;随着电池的老化或者工作环境的变化,映射关系将发生变化,而离线模型无法适应这种变化,无法满足在线估计要求。针对上述的缺点,学者们提出了相应的改进方案来提高 SOC 的估计精度,杜瑞]针对 NN 存在的局部最优问题,引入混合启发式算法,将粒子群优化算法和遗传算法相结合优化 NN,提高 SOC 估计精确度。党选举等人提出一种在线最小二乘支持向量机算法来在线估计电池 OCV 值,通过 OCV-SOC 曲线确定 SOC 的初始状态,并使用安时积分法估计 SOC 值,该算法提高了 SOC 初值的准确性,在一定程度上提高了 SOC 估计精确度,但没有真正做到减小累积误差;同时,安时积分法也无法满足 SOC 在线估计的要求。

发布于 2021-02-18 10:21