添加链接
link之家
链接快照平台
  • 输入网页链接,自动生成快照
  • 标签化管理网页链接
相关文章推荐
骑白马的口罩  ·  Windows 2010 VBA ...·  2 年前    · 
严肃的面包  ·  null (service amazon ...·  2 年前    · 

STEM的基本原理与应用

1 引言

自古以来,人类从未停止过对微观世界的探索,采用波长更短的电子束为光源的电子显微仪器打破了可见光的衍射极限,为人类打开了观察纳米世界的大门,使人们看到了在纳米尺度上研究单一原子和分子反应的可能。

扫描透射电子显微镜(STEM)是透射电子显微镜(TEM)的一种发展。近些年,伴随球差校正器的引入,STEM的空间分辨率达到了亚埃米级,已经可以实现单个原子柱成像观察。综合能量分辨率为亚电子伏特的电子能量损失谱分析,STEM能够实现在纳米和原子尺度上对材料微结构与精细化学组分的表征与分析。在冶金、材料、环境科学、生物科学等领域均具有巨大的应用潜力。

2 STEM的发展历史

1924年,路易斯·德布罗意(Louis de Broglie)提出“物质波”假说。

1927年,戴维孙(Davisson)通过电子衍射实验证实了电子的波粒二象性,奠定了电子显微技术的理论基础。

1938年,西门子员工曼弗雷德·冯·阿登纳(Baron Manfred von Ardenne)建造出第一个STEM仪器。

19世纪70年代,芝加哥大学的阿尔伯特·克鲁(Albert Crewe)及其同事开发了STEM中使用的冷场发射电子枪,他使用的仪器已经近似于现代STEM的结构。

1973年,汉弗莱斯(Humphreys)等人引入高角环形暗场(HAADF)探测器。并指出在高角探测模式下,图像的衬度不再与原子序数Z成正比,而是与Z的平方成正比,因此又称元素衬度像(Z contrast image)。

1988年,美国Oak Ridge国家实验室的潘尼库克(Pennycook)和他的同事首次观测到YBa2Cu3O7-x和ErBa2Cu3O7-x的高分辨HAADF像, 自此,STEM真正具有了原子分辨率成像能力。

2003年,巴斯托内(Baston)在STEM仪器中引入球差矫正装置,成像电子束尺寸集中到0.078nm,使STEM的成像质量得到了进一步提升。

图1 扫描透射电子显微镜

3 STEM的工作原理与结构

3.1 STEM的工作原理

STEM的工作原理如图2所示[2]。场发射电子枪激发的电子束经过复杂的聚光系统后被汇聚成为原子尺度的电子束斑,作为高度聚焦的电子探针,在扫描线圈的控制下对样品进行逐点光栅扫描。

图2 STEM的结构及成像原理

电子束斑与样品作用的同时,样品下方具有一定孔径的环形探测器同步接收散射电子,由入射电子穿透样品激发出来的电子信号依据散射角度进行收集、信号转换与成像。在这一过程中,施行逐点扫描,逐点成像,在连续扫描过样品的一个区域后即可得到最终的扫描透射结果。

在STEM的工作过程中,施行逐点扫描,逐点成像的模式,在样品上扫描的每一点与所产生的像点一一对应。 TEM采集透射电子平行电子束进行一次成像,而STEM则是利用会聚电子束在样品上进行逐点扫描成像的 。前者好似在“拍照片”,而后者则是细致的“作画”过程。

除了通过环形探测器接受的散射信号成像,结合后置的电子损失谱仪及X射线能谱探测器,STEM还可以获取电子能量损失谱(EELS)与微区元素分析(EDS)结果,获得样品的化学组成与电子结构信息。

3.2 STEM的仪器结构

扫描透射电子显微镜兼具扫描成像与透射分析的特点,其仪器结构可看作扫描电子显微镜与透射电子显微镜的综合。它与透射电子显微镜的主要差别在于添加了扫描附件,与扫描电子显微镜的不同在于电子信号探测器安置在样品下方。

如图2所示,STEM系统主要由以下几部分组成[3]:电子枪,电子光学系统,样品室,环形探测器与成像设备等。

(1)电子枪: 提供具有一定能量、束流、速度和角度的电子束。STEM测试技术对电子源质量要求较高,因此通常采用能够发射具有更高速度和能量的场发射电子枪。

(2)电子光学系统: 位于电子枪下方,由一系列的电磁透镜组成,能够将电子枪发射出来的电子束会聚成足够原子尺度的光束斑。

(3)样品室: 内置样品台,用于载放样品,对样品台进行移动可进行观察视野的选择。

(4)环形探测器与成像设备: 样品室下方的环形探测器具有一定的内径,能够捕捉广泛散射角度的散射电子,成像设备负责对收集到的电子进行信号解析与成像。

(5)真空系统: 由多级真空泵联合组成,高质量的真空环境对电子显微镜至关重要,这是为了避免高能电子束与气体分子碰撞引起的像差增加与样品污染。

3.3 STEM的制样要求

1. 样品一般应为厚度小于100nm,5 μm × 5 μm的固体样品。

2. 样品在电镜电磁场作用下不会被吸出。

3. 样品在高真空中能保持稳定。

4. 不含有水分或其它易挥发物,含有水分或其他易挥发物的试样应先烘干。

5. 作STEM分析的样品要求为薄膜样品,厚度<50 nm且厚度均匀。

4 STEM的成像模式

入射电子束与样品中的原子相互作用产生弹性散射和非弹性散射,这些散射电子携带有关于样品的信息,如图3所示,在样品下方的不同位置,环形探测器收集到的不同的信号分别用于不同的成像模式。

图3 STEM环形探测器种类及分布

STEM成像包含明场像(Annular bright field, ABF)暗场像(Annular dark field, ADF)和备受关注的高角环形暗场像(High angle annular dark field, HAADF。 由于各种成像模式收集的散射信号接收角度不同,因此在实验过程中可一次获取同一位置的不同图像,反应材料的不同信息。

4.1 环形明场像(ABF):

在STEM中,轴向明场检测器位于透射电子束的照射锥中心,收集的电子偏转角在θ1( θ1<10 mrads)范围内,主要包含 透射电子与部分散射电子 。明场成像可以形成相位衬度像、晶格像等,分辨率较暗场像更高,通常用于提供与ADF成像结果互补的图像。ABF像衬度与原子序数Z1/3成正比,因此 对轻元素更为敏感。

4.2 环形暗场像(ADF):

位于在θ2(10 mrads< θ2<50 mrads)范围内的环形暗场检测器接收的电子以 布拉格散射电子 为主。在同样成像条件下, ADF像相对于ABF像受像差影响更小,因此图像衬度更好

4.3 高角环形暗场像(HAADF):

在环形暗场模式下,使用HAADF检测器将接收角度进一步扩大到θ3( θ3>50 mrads)范围时,接收到的主要是高角度 非相干散射电子。 高角散射电子是入射电子束与样品原子内壳层1s态电子发生散射所产生的,涉及到原子核的性质,包括核的能级结构以及核所处的化学环境。

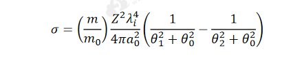
根据Pennycook等人的理论[4]可对散射强度进行计算:

在θ1和θ2所包括的环形区域中,散射电子的散射截面为:

其中m为高速电子的质量,m0为电子的静止质量,Z为原子序数,λ为电子的波长,a0为玻尔半径,θ0为博恩特征散射角。

在厚度为t的试样中,单位原子数为N时的散射强度Is即为

其中I为单个原子柱的散射强度。综合以上两个公式可以看出,Is正比于原子序数Z的平方。因此HAADF像也被称为Z衬度像。

由于Z衬度像是非相干高分辨像,其非相干性与样品厚度无关,且成像过程中抑制了衍射信号,平均了大部分干涉效应,只显示探测器收集的总信号强度。因此随着扫描位置的变化, HADDF成像中的图像衬度只反应样品中不同位置化学成分的变化,不会随着样品厚度和电镜的聚焦变化发生明显的变化。

5 STEM的应用

5.1 HAADF-STEM图像观察晶格结构与原子分布

K. Kaneko等人[5]对Al-Ge合金的析出过程进行了原位透射电镜观察,采集了不同深度的STEM-HAADF图像,用来研究析出相界面的原子排列。如图4a所示,在三角板状Ge析出物的横断面处观察到了单双晶和多双晶的存在,4c显示了棒状Ge析出物中多重孪晶的存在。借助3D建模模拟还原了合金中Ge析出相的分布情况。作者在研究过程中发现了棒状Ge析出物的快速粗化现象,并推测其与固溶态Ge的扩散有关。这一发现可以为理解合金中析出相的生长过程开拓新的视野,为有效调控合金的成分及热处理工艺提供参考。

图4 (a-d)析出相的Z衬度像;(e)Ge析出相的3D层析重建[5]

5.2 STEM-EELS分析化学成分

电子束穿过样品时,一部分入射电子与样品中的原子发生非弹性碰撞,引起样品表面电子电离、价带电子激发、震荡等,因而出现能量损失。通过收集这部分非弹性散射电子的信息,便可以得到电子能量损失谱(EELS),获取样品的化学成分、电子结构、化学成键等信息。

图5 磁棱镜谱仪原理图[6]

EELS能谱的获取过程如图5所示。探测器内环通过的非弹性散射电子在通过磁棱镜时受磁场作用发生偏转,根据运动电子在磁场中受洛伦兹力与向心力公式可以计算入射能量为E0,损失ΔE能量电子做偏转运动的半径r:

由此看出,能量损失越多的电子发生偏转半径越小,投射到荧光屏上时的偏转角度越大。因此可在电子光谱仪上记录下损失能量不同的出射电子的数量分布,即以电子能量损失为横坐标,电子强度分布为纵坐标的电子能量损失能谱。

加州大学的王梓莹等人[7]在研究全固态锂电池(ASS)时搭建了如图6所示的原位STEM观察装置,使用原位STEM-EELS结合HAADF图像分析,检测到了在LiCoO2/LiPON界面处源自分层LiCoO2的无序界面层。通过EELS分析确定了无序层中的Li分布和Co-O键结构。

图6 全固态电池原位STEM观察装置[7]

非原位测量结果显示,充电后的无序层发生了岩盐CoO的形成与氧气的释放。然而,原位测量表明在充电过程中,无序层中形成了Li2O或Li2O2中间相。由于氧气析出反应在足够的弛豫时间内发生,因此非原位表征错过了这一步骤。这项工作证明了ASS Li电池在充电过程中的界面层相变机理以及高界面阻抗的起因,展示了原位STEM模式下HAADF成像技术与EELS光谱分析结合的强大功能。

图7 阴极/固态电解质界面(a-c) HAADF-STEM图像;(d-f) STEM-EELS分析[7]

5.3 STEM-EDS解析元素组成

在样品上配备EDS探头收集检测样品与电子束相互作用激发的特征X射线,可对样品进行STEM-EDS分析。根据X射线的强度和波长分布可得到样品的元素映射和半定量成分信息。

来自大阪府立大学的学者[8]借助STEM技术对LCO/Li2S-P2S5 界面进行了HAADF形貌成像和EDS元素线分析。在阴极/固态电解质界面发现Co、P、S的相互扩散,这一元素相间扩散行为导致LCO电极和固态电解质在界面处均发生降解,是导致全固态锂电池界面电阻增大的原因。

图8 LCO/Li2S-P2S5界面的EDS元素线分布[8]

STEM-EELS与SETM-EDS分析特点比较:

STEM-EELS:

优点:信号分布集中(< 10 mrads),收集效率高, 能量分辨率高(约1 eV);对轻元素敏感 ,可探测元素周期表中的所有元素;不仅能得到样品的元素组成,电子结构,化学成键等信息,还可以对EELS各部分进行选择成像。

不足:对样品厚度要求高;激发能量高,测试条件苛刻;需要大量复杂的数据处理和分析。

STEM-EDS:

优点: 对重元素敏感 ,可识别和定量分析元素周期表中碳元素以上的所有元素;检测速度快;对样品损伤小;成本低。

不足:能量分辨率较低(约130 eV),信息采集效率低。

图9 GaAs晶体的HAADF,EDS和EELS图像

6 STEM的优势与不足

综上所述,STEM测试在冶金、材料分析和电化学反应等广泛的研究领域中展现出了强大的分析实力。在应用中,这项测试技术表现出了以下的优势与不足。

优势:

(1)成像质量高,受样品厚度与仪器干涉小: HAADF图像的非相干性质使图像更易于对原子结构进行解释;

(2)可达到原子分辨率: 能够达到目前所有分析技术中 空间分辨率最高 的元素mapping,HAADF图像分辨率<0.2 nm,EELS能谱能量分辨率<1 eV,可进行精细结构分析;

(3)结果分析简单、直观: 非相干HAADF像显示强的原子序数衬度像,无需对试验结果进行大量仿真,辅助简单的计算机模拟可以直接与晶体结构模型建立联系,即能对原子在纳米尺度上精确定位;

(4)能够快速获取样品的综合信息,成像效率高: 由于环形探测器收集信号分布在不同角度内,STEM成像过程中可一步获取同一位置的ABF,ADF,HAADF结果。

不足:

(1)制样时间长,对样品的要求高;

(2)一些材料在高能电子束中不稳定;

(3)测试成本高,仪器分布稀少。

表1 SEM、TEM、STEM测试方法的比较

7 总结

STEM测试技术作为一种高精密的电子显微技术,为人类深入原子尺度研究物质结构提供了“观测之眼”。而今,配备球差校正器、单色器和高能量分辨率过滤器的STEM可以在亚埃尺度下研究材料的原子和电子结构,从而在微观基础上理解材料的宏观性能,原位观测模型的构建对于解析化学反应过程中的物质迁移与相变反应原理也提供了强有力的助力。

近几年,STEM技术在原来的基础上又有了新的发展,针对环境与生物科学领域的样品观测发展了低温电子显微术和低压电子显微镜的设计,纳米颗粒和生物细胞已经在液体环境中使用液相电子显微镜实现了STEM观测,多种辅助仪器的发展为未来STEM的研究工作提供了更多的可能,人类正借助这一种强力仪器的辅助在微观原子世界的探寻道路上稳步前行。

参考文献:

[1] T, Yamazaki, M, et al. Artificial bright spots in atomic-resolution high-angle annular dark field STEM images.[J]. Journal of Electron Microscopy, 2001.

[2] Williams D B D B , Carter C B . Transmission Electron Microscopy: A Textbook for Materials Science[M]. Plenum Press, 2009.

[3] Pennycook S J . Scanning Transmission Electron Microscopy[M]. Springer, 2011.

[4] Kisielowski C , Freitag B , Bischoff M , et al. Detection of Single Atoms and Buried Defects in Three Dimensions by Aberration-Corrected Electron Microscope with 0.5-Å Information Limit[J]. Microscopy & Microanalysis, 2008, 14.

[5] K. Kaneko and K. Inoke and K. Sato and K. Kitawaki and H. Higashida and I. Arslan and P.A. Midgley. TEM characterization of Ge precipitates in an Al–1.6 at% Ge alloy[J]. Ultramicroscopy, 2008.

[6] Muller D A . Structure And Bonding At The Atomic Scale By Scanning Transmission Electron Microscopy[J]. Nature Materials, 2009, 8(4):263-270.

[7] Ziying, Wang, Dhamodaran, et al. In Situ STEM-EELS Observation of Nanoscale Interfacial Phenomena in All-Solid-State Batteries.[J]. Nano letters, 2016.

[8] Atsushi Sakuda, Akitoshi Hayashi, Masahiro Tatsumisago. Intefacial Observation between LiCoO2 Electrode and Li2S-P2S5 Solid Electrolytes of All-Solid-State Lithium Secondary Batteries Using Transmission Electron Microscopy[J]. chemistry of materials, 2010, 22(3):949-956.

[9] 戎咏华. 分析电子显微学导论[M]. 高等教育出版社, 2006.

[10] Li M H , Yang Y Q , Huang B , et al. Development of advanced electron tomography in materials science based on TEM and STEM[J]. Transactions of Nonferrous Metals Society of China, 2014, 24(10):3031-3050.

[11] Sun, Cheng, Mueller, et al. On the Progress of Scanning Transmission Electron Microscopy (STEM) Imaging in a Scanning Electron Microscope[J]. Microscopy & Microanalysis the Official Journal of Microscopy Society of America Microbeam Analysis Society Microscopical Society of Canada, 2018.

[12] 贾志宏, 丁立鹏, 陈厚文等. 高分辨扫描透射电子显微镜原理及其应用[J]. 物理, 2015(07):31-37.


了解科研前沿,获取科研干货,公众号查询“科学10分钟”/“测试GO”,测试认准测试狗~

发布于 2022-08-18 14:20