添加链接
link之家
链接快照平台
  • 输入网页链接,自动生成快照
  • 标签化管理网页链接
相关文章推荐
没有腹肌的围巾  ·  从 Visual Studio Code ...·  8 月前    · 
刚毅的花卷  ·  android recyclerView ...·  1 年前    · 
讲道义的鞭炮  ·  Mac打开Microsoft ...·  1 年前    · 

个体同步性:从自然神经影像学中的共享反应到个体差异

人类认知神经科学中的两个正在进行的方向使研究人员 从群体水平的推断转向对单个受试者的描述, 并用丰富、动态的范式(如电影和故事)来补充严格控制的任务。然而,相对较少的工作结合了这两者, 可能是因为用于自然成像数据的传统分析方法更倾向于检测共享反应,而不是受试者间的变异性。 在这里, 我们回顾了使用自然刺激研究个体差异的最近工作,并提出了一个检测大脑活动中特异性模式结构,或者说“个体同步性”的框架。 具体来说, 我们概述了正在出现的受试者间表征相似性分析(IS-RSA)技术 ,包括其理论动机以及如何使用来自人类连接组项目的数据在观看电影时恢复大脑-行为关系的实证演示。我们还考虑了刺激选择可能如何影响个体信号,并讨论了未来研究的领域。我们认为, 自然神经影像学范式有可能揭示出有意义的个体差异,这些差异超出了在传统任务或者休息状态下观察到的差异。 本文发表在NeuroImage杂志。

本文亮点:

• 我们回顾了使用自然范式研究个体差异的文献。

• 我们讨论了特异性时间锁定反应(“个体同步性”)的现象。

• 我们概述了 受试者间表征相似性分析(IS-RSA )。

• 我们应用IS-RSA揭示了观看电影时的大脑-行为关系。

• 我们考虑了刺激选择的角色以及未来工作的其他方向。


关键词:个体差异,自然主义,受试者间相关性,功能磁共振成像,行为,表征相似性分析


1.引言

目前,认知神经科学中有两个令人兴奋的方向正在进行。 首先,该领域正在将焦点从群体转向个体: 研究不再是将数据平均到一个群体上,而是在单个受试者中隔离大脑功能,并确定它如何与行为表型相关(Bartolomeo等人,2017;Dubois和Adolphs,2016;Seghier和Price,2018)。 其次,研究人员正在接受所谓的“自然主义”刺激 —— 例如,电影剪辑,口头叙述——作为实验范式, 以补充和扩展形成经典心理学工作基础的严格控制的参数任务(Sonkusare等人,2019)。

尽管这两个方向各自带来了有前景的发现,但在交叉点上的研究——即: 使用自然刺激研究个体差异的研究却相对较少。 为什么会这样呢?自然刺激引发的大脑活动模式在很大程度上在受试者之间高度一致(Hasson等人,2004,2010), 并且通常,自然成像数据的收集和分析方式都是为了检测受试者之间的相似性而不是差异 (Nastase等人,2019)。将自然主义任务调整以研究个体差异和脑-行为关系带来了一些挑战,这需要对实验设计和数据分析采取新的方法。然而,可能的回报是巨大的。 自然主义任务提供了一个“理想的折衷”,它介于高度控制的认知任务(这些任务往往缺乏生态效度)和完全无约束的静息状态采集(这使得它们容易受到混淆并难以解释)(Vanderwal等人,2019)之间。 它们允许实验者使用来自单一采集的数据, 在大脑参与更接近日常生活的活动时,探测神经系统层次结构中交织的信号——从低级感觉处理到社会认知。 因此,它们可能比静息或传统任务更能为描述个体主体的大脑活动的时空模式提供更多的价值。

在这里,我们的目标有三个。 在第一部分,我们简要描述了分析自然成像数据的受试者间相关性(ISC)方法, 这些方法利用任务在受试者之间的时间锁定性来隔离由刺激驱动的大脑活动(Hasson等人,2004;Nastase等人,2019)。在这一部分,我们还回顾了使用ISC研究个体差异的现有文献。(关于自然任务和受试者间相关性的综述,我们分别推荐读者参考Sonkusare等人(2019)和Nastase等人(2019)。我们在这里特别关注的是这些如何与研究个体差异相交叉。) 在第二部分,我们提出了一个研究自然刺激下大脑活动时空模式中个体差异的框架,我们称之为“个体同步性”。 我们 特别关注正在出现的受试者间表征相似性分析(IS-RSA)技术,该技术改编了ISC以突出那些特异性而非共享的刺激驱动反应。 我们提出了IS-RSA的理论,然后将其应用于人类连接组项目的数据,以演示如何在观看电影时的大脑反应与工作记忆和人格等行为特征共享结构。在最后一部分, 我们考虑了未来工作的方向,包括我们如何选择刺激来放大行为相关的个体信号。


2. 受试者间相关性:刺激锁定,较少的假设

因为自然范式位于静息状态和传统任务之间,研究人员可以使用各种分析方法。刺激的存在允许使用经典技术来检测对刺激特定特征的激活, 如广义线性模型(GLM)和其他回归技术。 同时, 由于这些范式的连续性和非参数性,它们也适用于主要为静息状态开发的方法——例如,功能连接性,它考虑的是区域之间的共激活,而不是任何单个区域的激活幅度。

我们将这些方法置于一个有两个主要维度的框架中: 它们与刺激的时间锁定程度,以及它们需要多少假设。 功能连接性(FC)——尤其是静态FC,它整合了整个时间序列——需要相对较少的假设,但是无法映射回刺激,因此无法分离刺激驱动和刺激独立的神经活动来源。动态FC更接近于时间解析信号,但在大多数情况下,需要最小长度的窗口使得将连接性波动映射到刺激中的特定事件变得困难,而且每个主体内的结果信号仍然包含刺激相关和刺激无关的变化混合。

基于GLM的分析确实利用了具有已知时间的刺激的“基准真值”, 但在这样做的过程中做出了两个关键的假设: 一是实验者知道刺激的哪些特征对驱动大脑活动是重要的,二是他们已经准确地模拟了这些特征。任何一步的非最优假设都会降低灵敏度。

虽然这两类方法都可以并且已经被应用于自然数据(基于回归的激活:(Bartels和Zeki,2004;Lahnakoski等人,2012a;Lahnakoski等人,2012b;Russ和Leopold,2015);功能连接性:(Betti等人,2013;Geerligs等人,2015;Guo等人,2016;Vanderwal等人,2017),仅举几例),但没有一种是专门为这些范式设计的。 受试者间相关性(ISC)方法(Hasson等人,2004;Nastase等人,2019;Simony等人,2016), 这种方法是专门为自然主义范式开发的,它以较少的假设最大化对刺激驱动活动的敏感性。 这些方法使用一个受试者的大脑活动作为第二个受试者大脑活动的模型,推理认为只要两个受试者在同一时间接收到相同的输入,任何共享的差异必须是由于刺激处理引起的。

简单来说,ISC被定义为不同受试者在空间位置(即,体素,区块)的活动时间序列的皮尔逊相关性。它通常使用留一法框架计算, 其中一个受试者的时间序列与所有其他受试者的平均值相关,或者使用成对框架,其中每一对可能的受试者之间进行相关性计算。对于我们的目的,这后一种方法更为相关,因为它保留了哪些特定的受试者对显示最高和最低相关性的信息,这些信息可以后来与行为分数相关。

与FC不同,ISC隔离了刺激驱动的信号,并可以根据刺激本身的事件进行解释。与基于GLM的方法不同,即使实验者不知道——或不能模拟——刺激的最重要特征, 只要在受试者之间有一些一致的信号,ISC就会恢复它 (Pajula等人,2012),在某些情况下,比反卷积/GLM-based分析更敏感(Hejnar等人,2007)。因此, ISC是一种强大的,数据驱动的技术,用于检测共享的反应, 无论是否预期。


2.1. 将ISC适应到个体差异框架

经典的ISC公式假设在每个体素x和时间点t观察到的信号 反映了三个组成部分的混合。 大致按照Nastase等人(2019)的公式,这些组成部分是:

c,一个在受试者之间一致的刺激诱发的反应;

id,一个对每个受试者特异的刺激诱发的反应;

ε,一个噪声组成部分(这可能反映与刺激无关的神经活动,即,心神游走,以及来自非神经生理和扫描器源的噪声)。

因此, 对于给定的受试者i,在体素x的时间点t的反应可以描述如下:

xi(t) = c(t) + idi(t) + εi(t)

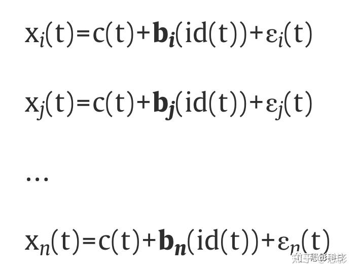
在这个公式中,除非受试者多次接触同一刺激,否则无法区分id和ε。即使如此,结果也必须谨慎解释,因为重复可以改变刺激的处理方式。另一种方法是将id锚定到关于每个受试者的其他已知信息,如特征分数(b),并在这些反应中寻找受试者间的结构:

注意,现在id项已经失去了其受试者下标,因为我们假设有一些与给定特征相关的规范反应,每个受试者的特征分数作为一种偏置项,决定了受试者表达该反应的程度。

这个框架让我们能够区分个体受试者中的刺激相关反应和刺激无关的噪声,并 以一种便于解释的方式进行,因为我们将特异性反应与已知的行为测量联系起来。通常, 我们可能会预测,随着在皮质处理层次结构中向上移动,个体差异对x(t)的影响——即,id与c的比率——会增长, 这样,共享的、与行为无关的信号在单模皮质中占主导地位, 而特异的、与行为相关的信号在高级联合皮质中变得更强。这可能解释为什么ISC在初级视觉和听觉皮质中传统上很高,并在前额叶皮质的区域中下降 (但不一定完全消失):这并不是说这些区域没有对刺激做出反应,而是说它们在受试者之间有不同的时空特征(Chang等人,2018;Hasson等人,2010)。这种差异可能部分可以由特征水平的表型来解释。


3. 已有的关于ISC和个体差异的研究

尽管传统上关注的是共享反应,但近年来,研究人员已经开始研究ISC如何随与刺激或实验指导相关的状态级因素变化,以及——对我们的目的更为相关的——随受试者自身的类似特质的因素变化。

有几项研究已经表明ISC对刺激的特征敏感 (Dmochowski等人,2014;Hasson等人,2010;Nummenmaa等人,2014;Schmälzle等人,2015)。其他研究保持刺激不变,并使用启动来显示ISC对注意力或对刺激的先前信念的明确操纵敏感(Cooper等人,2011;Lahnakoski等人,2014;Yeshurun等人,2017)。虽然这些研究提供了有价值的信息, 但它们并没有研究为什么不同的个体经常自发地——即,没有明确的启动——对同一刺激表现出不同的神经或行为反应。

有少数几项研究报告了与刺激的行为评价相关的刺激锁定活动的自发个体差异。 分别使用情绪片段、喜剧视频和道德困境场景 ,Nummenmaa等人(2012)、Jaaskelainen等人(2016)和Tei等人(2019)发现,某些大脑区域的ISC与受试者对的后设行为评分(动态价值/唤醒、幽默和道德冲突)的相似性相关。分别使用抽象的动画形状视频和音频故事,Nguyen等人(2019)和Saalasti等人(2019)发现, 刺激期间在某些皮质区域有更高ISC的受试者对最终对刺激的解释更为相似。 这些研究为我们提供了一个了解刺激暴露期间大脑活动的个体差异如何与后续反应和解释的差异相关的窗口。但是,由于大脑反应和行为都与特定的刺激有关, 这些状态类似的差异在多大程度上反映了类似特质的倾向——即,内在的个体特性——仍然不清楚。

最近的研究采取了这一额外的步骤,将自然刺激过程中的特异性反应与稳定的、类似特质的因素联系起来。Finn等人(2018)报告说, 具有较高偏执特质的个体在一个模糊的社会叙述过程中,表现出在涉及社会处理的皮质区域中的ISC更强。 Bacha-Trams等人(2018)报告说,认知风格(即,整体性与分析性思考)的个体差异与在一部戏剧电影过程中几个皮质区域的ISC强度有关。在一个大学年龄男性的样本中,Chen等人(2020)报告说, 社会欲望和自我控制偏好的变化与在色情(而非中性)电影过程中几个高阶大脑网络活动的变化有关。 在一个跨越7-21岁的儿童和青少年样本中,Gruskin等人(2020)报告说,抑郁症状的模式和严重程度与在一个情绪激发的动画片段过程中的大脑反应有关,但只在青少年中有此现象,这表明这些特异性反应是在发展过程中出现的。最后,在一项对阅读障碍者的研究中,从MEG信号包络时间序列计算出的ISC与音位处理、技术阅读和工作记忆的相似性相关(Thiede等人,2019)。令人鼓舞的是, 这些研究表明,在自然刺激的特异性反应中存在有意义的(即,行为相关的)结构。

其他研究通过将受试者二分化为诊断组来处理变异性。有几项研究报告了在自然范式中健康对照组和有精神疾病和障碍的人群之间的ISC差异——最常见的是自闭症(Bolton等人,2018;Byrge等人,2015;Hasson等人,2009;Salmi等人,2013),但也包括抑郁症(Guo等人,2015)和首次发作的精神病(Mäntylä等人,2018;Yang等人,2020)。总的来说, 这些研究报告了病人组中跨受试者同步性的降低,这种效应有时会随症状严重程度的增加而增加 (Guo等人,2015;Salmi等人,2013)。

患者和对照组之间的群体对比可以用来评估总体水平上的差异。但是,患者通常表现出反应的增加异质性,而不是每个组的明确的典型反应(Bolton等人,2018)。这表明,一个更好的框架会 将问题作为个体差异问题来处理。 事实上,Byrge等人的事后分析显示, 他们的ISC效应完全由ASD组中五个反应特别特异性的个体驱动,这些反应不能被其他因素(如,数据质量,症状严重程度)轻易解释; 当这五个个体被移除时,ASD和神经典型组无法区分(Byrge等人,2015)。有趣的是,Hasson等人(2009)报告说,虽然自闭症受试者的反应更为变化,但这些特异性反应在单个个体中对同一刺激的重复呈现是可靠的, 这表明了一个类似特质的组成部分。

与其将健康和疾病二分,大多数精神疾病可能更好地被概念化为表型谱系的极端端点(Cuthbert和Insel,2013;Insel等人,2010)。我们可以通过使用连续度量(任务表现,症状严重性,遗传负荷)作为我们的自变量,而不是将受试者分为患者和对照组,以提高敏感性(Finn和Constable,2016)。然后,为了利用这些连续空间中嵌入的信息丰富性,我们需要能够适当处理二元组而非个体的复杂相互依赖性的分析框架。最近的工作提出使用 多层建模 和其他扩展的统计公式,其中一些提供了将受试者级别的协变量纳入ISC分析的能力(Chen等人,2017;Chen等人,2020)。在下一节中, 我们概述了另一种有前景的方法,这种方法被上述的几项研究使用,它灵活,直观,并且可以用来检测任何类型的大脑和行为数据之间的关系。


4. 受试者间表征相似性分析:理论

受试者间间相关性"(ISC)的定义是基于多个受试者之间的数据, 因此无法单独对一个受试者进行计算。 那么,我们如何将ISC(它在受试者对的层面上进行)与特征和行为(它们在单个受试者的层面上进行)联系起来呢? 我们可以使用一个我们称之为“个体同步性”的框架来解决这个问题。 这个框架的基本思想是, 每个受试者与其他受试者的神经反应同步模式是独特的,我们可以利用这个独特模式来揭示一个反映已知行为测量的协方差结构。 这些行为测量可以包括自我报告问卷、人口统计数据、任务表现、临床评估或基因型等。换句话说,这个框架的直观理解是, 如果两个人在行为上更相似,那么他们的神经反应也应该更相似。通过这种方式,我们可以将ISC与单个受试者的特征和行为联系起来。

我们通过计算两个受试者之间的距离矩阵来实现这一点: 一个用于大脑数据(例如,使用ISC),一个用于行为数据。然后,我们可以通过相关它们来比较这两个矩阵的几何形状,这是一种被称为距离相关或 表征相似性分析 的程序(Mantel, 1967; Kriegeskorte等人,2008)。我们和其他人称之为受试者间表征相似性分析(Chen等人,2020; van Baar等人,2019)。比较相似性矩阵优于典型的一级分析的优点是, 我们使用二阶同构性比较大脑数据的几何形状与行为数据的几何形状, 而不是直接链接两个物理不同的量,如大脑数据和行为(图1)(Kriegeskorte和Kievit,2013)。

图1. 受试者间表征相似性分析示意图。

每个受试者(底层)都与一个行为评分(中层)和一个大脑活动模式(顶层,例如,自然刺激期间给定大脑区域的时间序列)相关联。 中层和上层描绘了使用相似性矩阵作为邻接矩阵获得的加权图,其中较粗的线表示节点(受试者)之间的相似性增加。 在IS-RSA中,我们为行为数据和大脑数据构建成对的(即,受试者对受试者)相似性矩阵,然后使用Mantel测试比较这些矩阵。因此,我们可以利用受试者间分析方法,如ISC,来检测大脑数据和行为数据之间的共享结构。

这听起来足够直接了。但一个关键的问题是,我们如何衡量行为的相似性?在选择距离度量时,特别是当我们的行为是一维的(例如,年龄(Moraczewski等人,2018;Richardson等人,2018),特质分数(Finn等人,2018),认知任务的准确性),我们赋予我们的分析一些关于大脑-行为表征相似性结构的基本假设,这些假设影响最终的结果和我们如何解释它们。为了感觉一些可能的结构,想象一下将ISC矩阵的行和列排列,使得受试者按照他们的行为分数排序。我们期望结果矩阵会是什么样子?

如果我们使用欧几里得距离或其他相对距离度量, 我们隐含地假设得分更接近的受试者应该彼此更相似 ,无论他们在尺度上落在哪里。换句话说,对于一个在0到100的尺度上测量的行为,得分0和1的一对受试者应该和得分99和100的一对受试者一样相似(因为在这两种情况下,欧几里得距离都是1)。 我们称这为最近邻(NN)模型,因为它假设一个受试者应该总是看起来最像他或她的直接邻居, 无论他们在尺度上的绝对位置如何(图2a)

图2. 模拟大脑-行为表征相似性矩阵的潜在结构。

对于每一行a-d, 左侧面板显示了一个模拟的成对大脑相似性矩阵, 其中受试者沿着行i和列j按照他们的行为分数(从低到高)排序,每个单元格{i, j}反映了给定大脑区域的时间序列的受试者i和j之间的相关性(成对的受试者间相关性)。 右侧面板显示了相应距离矩阵(即1 - 相似性矩阵)的二维嵌入, 使用的是t-SNE(t-分布随机邻域嵌入),其中每个点代表一个受试者,受试者根据他们的行为分数进行着色。在t-SNE解决方案下, 相似的观察(在这种情况下,是受试者)出现在附近,而不相似的观察出现在更远的地方。

NN (最近邻) 模型可能适用于某些行为,但我们可以想象一个同样甚至更有可能的情况:随着在量表上的位置上升或下降,受试者之间的相似性会以绝对而非相对的方式增加或减少。例如, 可能高分受试者与其他高分者更相似,而低分受试者与高分者和其他低分者的相似性都较低。 换句话说,对于处于行为谱系一端的受试者,大脑反应聚集在一起,而当向谱系的另一端移动时,变异性增加。 我们称这为安娜·卡列尼娜(或AnnaK)模型, 这是根据列夫·托尔斯泰的小说的著名开篇语命名的,该开篇语是“所有幸福的家庭都相似;每个不幸的家庭都有自己的不幸方式”(或者,在这种情况下, “所有高[低]分者都相似;每个低[高]分者都有他或她自己的方式不同” )。在这种情况下,欧几里得距离可能不是最合适的选择。相反,我们希望使用反映量表上绝对位置的度量来模拟相似性——例如,平均值:(i + j)/2,最小值:min(i, j),或平均值和最小值的乘积(图2b-d)。

在特征和行为由每个受试者的响应向量(例如,自我报告问卷)而不是单个标量数字(例如,年龄)组成的情况下,我们可以选择使用任何数量的潜在距离度量来计算项目间的相似性——例如,相关性,欧几里得距离,余弦距离等等。在这种情况下,我们假设应该是个体响应的模式,而不是综合得分,决定了受试者间相似性结构。 这种方法可能最适合由不可互换的独特项目组成的评估:例如,人格问卷。 作为一种一般的启发式方法, 定量评估(那些具有明确的“更好”和“更差”量表端点的评估)可能更适合基于单个综合得分的距离模型,而定性量表可能适合综合或项目间模型。 我们也可以想象出两种模型都理论上适用的情况,每种可能捕获不同的效应。例如,评估症状类型和严重程度的问卷可能显示一些与总得分(安娜·卡列尼娜模型)相关的效应,以及其他与项目间相似性(最近邻)相关的效应——而这些效应可能存在于不同的大脑区域中。

为了研究在自然刺激过程中大脑相似性如何反映行为相似性,更具体地说,距离模型的选择如何影响结果, 我们将受试者间RSA应用到了人类连接组项目(HCP)的一个实证数据集中 (Van Essen等人,2013)。参与者(所有健康志愿者年龄在22-35岁之间)在7T的高分辨率(体素大小=1.6 mm3,TR=1s)功能MRI扫描期间参与了一个观看电影的范式。这里使用的样本(n=184)反映了这个范式的所有可用数据。这个数据集包含了许多双胞胎(包括单卵和双卵)和兄弟姐妹(184个受试者来自n=93个独特的家庭)。数据采集和基本预处理的细节已在其他地方发布(Glasser等人,2013a;Van Essen等人,2012;Vu等人,2017)。 每个受试者都观看了四个15分钟的电影片段; 这里使用的数据来自第一次运行(MOVIE1_7T_AP)。这次运行包括五个按固定顺序呈现的视频剪辑。四个剪辑来自独立的电影和纪录片,所有的剪辑都有一定程度的社会和情感内容,还有一个是描绘人们和地方的简短(1.5秒)移动场景的蒙太奇。所有的fMRI分析都从FIX去噪数据开始,这包括标准预处理(运动校正,失真校正,高通滤波,和非线性对齐到MNI模板空间(Glasser等人,2013b))加上24个帧间运动估计的回归(六个刚体运动参数及其导数和这12个的平方)和通过独立成分分析确定的混淆时间序列的回归(Griffanti等人,2014;Salimi-Khorshidi等人,2014)。

每个受试者也在扫描仪外完成了一系列的自我报告和行为测量(Barch等人,2013)。我们关注了来自 认知和情感领域的两个特质级测量: 工作记忆(通过列表排序任务测量)和人格(通过NEO五因素库测量)。我们选择了这两个特质,因为我们假设大脑-行为相似性的结构会对每一个都有不同的表现,因此每一个特质在IS-RSA中都会被一个不同的距离函数最好地模拟,如下所述。列表排序任务的主要结果测量是一个关于工作记忆跨度的单一标量测量,或者一次可以准确存储和操作多少项目(得分越高,表现越好)。NEO五因素库由60个项目组成, 这些项目的子集被加总以得到五个维度的得分:宜人性,外向性,尽责性,神经质,和开放性。

对于工作记忆和所有五个人格特质,我们都测试了两种模型: 1) 基于总分的最近邻模型(abs(i-j)) ,以测试在行为测量上得分更相似的人在大脑活动上是否也更相似,无论他们的得分是高还是低;以及 2) 基于mean(i,j)公式的AnnaK模型,以测试在给定特质上得分高的人是否在大脑活动的模式上更相似,而得分低的人是否显示出更多的变异性(或者反过来)。 在人格领域内, 我们测试了第三种模型:基于对人格问卷的逐项回应的最近邻模型, 以测试填写问卷方式更相似的人,无论他们的总体特质得分如何,是否会显示出更相似的大脑活动。 我们假设在大多数大脑区域中,工作记忆将最好地被AnnaK模型捕捉。 对于人格的最佳模型,我们没有强烈的假设,因为以上所有的情况在理论上都是可行的。

由于我们可能期望由于各种遗传和环境影响,兄弟姐妹之间的行为表型和大脑活动会更相似——尤其是双胞胎——所以我们避免在有关系的个体上进行IS-RSA。我们将数据集分为两组无关的受试者(分别为n = 93和n = 89),这样我们就有了一个自然的复制样本,以帮助防止假阳性。我们对每个队列分别进行所有的分析,并利用这种测试-重测框架来纠正多重比较,这将在下文中进一步描述。

对于每个受试者, 我们从268个节点的功能分区(Shen atlas;Shen等人,2013)中提取每个节点的活动时间序列, 通过对每个volume的所有体素进行平均来实现。由于预期相邻体素的活动会平滑,这一步降低了数据的维度,从而避免了体素级分析的计算成本。 对于每个节点n和每个队列中的每对受试者{i, j},通过计算整个运行过程中的活动时间序列的皮尔逊相关系数(ISC)来计算大脑相似性。 行为相似性根据最近邻模型(i - j;图2a)或AnnaK模型(mean(i, j);图2b)进行计算。通过计算大脑和行为相似性矩阵的上三角形的向量化之间的斯皮尔曼等级相关性来评估表征相似性。

对于每个节点,使用Mantel测试(Mantel,1967)非参数地评估大脑-行为表征相似性的显著性,其中对两个相似性矩阵中的一个进行大量次数(在这种情况下,10,000次)的随机置换(即,行和列)并重新计算两个矩阵之间的相关性以形成替代相关值的零分布。然后将观察到的相关系数与这个零分布进行比较,以获得每个队列中每个节点的p值。然后使用两种并行方法对这些p值进行多重比较校正,这两种方法都利用了两队列的框架: (1)Bonferroni式, 其中计算了校正的p阈值,以反映在任何给定节点上在队列1和队列2中都获得p < 0.05结果的概率(在这种情况下,p = 0.0136)5;和 (2)家庭误差控制(fwe), 其中我们使用置换测试计算了一个零分布,该分布表示在两个队列中都能够存活初始p阈值(在这种情况下为0.05)的整个大脑的节点数量预期是多少,并将观察到的节点数量与这个零分布进行比较。 请注意,第二种方法并未设计用来测试任何特定节点的显著性,而是用来评估和比较我们两种模型在整个大脑中的整体检测能力。

对于工作记忆,如我们所预期,脑-行为表征相似性最好地被AnnaK模型捕获 (见图3,底行)。在大脑的许多部位, 得分高的受试者与其他得分高的受试者相似,而得分低的受试者有更多的特异性反应 ——换句话说,他们与得分高的受试者和其他得分低的受试者都不太相似。与最近邻模型相比,AnnaK模型更好地拟合了数据,因为它产生了更强的效应大小(比较图3中两个散点图的RSA值分布),并且在两个受试者队列中更具可复制性(对于AnnaK模型,rcohort 1, cohort 2 = 0.60,而对于NN模型,rcohort 1, cohort 2 = 0.18)。 AnnaK模型在52个节点(familywise p < 0.0001)中捕获了脑与行为相似性之间的显著关系,这些节点分布在顶叶、颞叶、枕叶和小脑皮质(其中16个节点经过Bonferroni校正后仍然显著)。 这种模式与以前的发现一致,即工作记忆和其他高级认知能力依赖于主要位于联合皮质的分布式区域网络,而这些区域的功能组织的个体差异在一定程度上是内在的,即,即使在没有专门设计用来探测这些过程的任务状态下,也可以观察到这些差异(Cole et al., 2012; Finn et al., 2015; Hampson et al., 2006; Song et al., 2008)。相比之下, NN模型只在2个节点(familywise p = 0.14)中捕获了显著的脑-行为关系 (两者都未经过Bonferroni校正)。

图3. 受试者间表示性相似性分析:工作记忆。

在自然观察期间,得分在工作记忆测试(人类连接组项目:ListSort_Unadj)上更相似的受试者对是否在某些大脑区域显示出更强的ISC?测试了两种行为相似性模型:最近邻模型(顶行;参见图2a)其中行为相似性矩阵构建为|i - j|,和“安娜·卡列尼娜”模型 (底行,参见图2b)其中行为相似性矩阵构建为mean(i,j)。在散点图中,每个点代表沈图谱(总共268个)中的一个节点,根据其在队列1(x轴)与队列2(y轴)中的表示性相似性(大脑相似性和行为相似性矩阵之间的斯皮尔曼相关性,r)进行绘制。大灰点是在两个队列中都经过置换测试后显示出显著表示性相似性(p < 0.05,未校正)的节点(每个队列的置换次数 = 10000);大黑点是在Bonferroni式校正后α < 0.05显示出显著表示性相似性(p < 0.0136)的节点。虚线对角线代表身份线y = x(不是回归线),以便于视觉检查复制性——如果结果在队列之间可复制,RSA r值应接近此线。玻璃脑显示由IS-RSA值着色的节点。分别用灰色和黑色描边的节点显示了在家庭和Bonferroni校正后的显著表示性相似性(对应于散点图中的大灰点和黑点)。

对于人格,结果更为复杂。 使用人格总分的最近邻模型在五个维度上都没有产生任何显著的节点(图4b,顶部散点图), 而AnnaK模型在所有五个维度上只产生了两个在未校正阈值下显著的节点 (图4b,底部散点图)。然而,基于项目逐项反应的最近邻模型捕获了大脑中的16个节点(fwe p < 0.0001;尽管只有一个个体节点经过Bonferroni校正后存活下来),包括梭状回、右侧额下回和小脑中的几个节点(图4a)。有趣的是, 这表明在自然刺激过程中的大脑反应可能更少地依赖于某些人格特质的总体水平,而更多地依赖于通过人格问卷的项目逐项反应捕获的人格“指纹”。小脑结果的相对过度代表性增加了对其在社会认知中的作用的证据,特别是涉及高度抽象的过程 (Van Overwalle等人,2014);目前的结果表明, 个体特定的人格特质可能在复杂的社会性刺激过程中被编码在小脑活动的模式中。

图 4. 被试间表征性相似性分析:人格。

在自然观察中,具有更相似人格(通过五因素库测量)的受试者对是否也在某些大脑区域显示更强的ISC?

a) IS-RSA,其中人格相似性是根据每对受试者的 项目逐项响应的皮尔逊相关性计算的(“NN-itemwise”)。

b) IS-RSA,其中人格相似性是根据每个五个特质的总分计算的。对于每个特质,我们测试了两种行为相似性模型:一种是最近邻模型(每列的顶部图;参见图 2a),其中行为相似性矩阵构建为 |i – j|,另一种是“安娜·卡列尼娜”模型(每列的底部图,参见图 2b),其中行为相似性矩阵构建为 mean(i,j)。在所有散点图中,每个点代表shen图谱(总共268个)中的一个节点,根据其在队列1(x轴)和队列2(y轴)中的代表性相似性(大脑相似性和行为相似性矩阵之间的斯皮尔曼相关性)进行绘制。大灰点是在两个队列中都经过置换测试(每个队列的置换次数为10,000次)后显示出显著代表性相似性(p < 0.05,未校正)的节点;大黑点是在Bonferroni式校正后α < 0.05显示出显著代表性相似性(p < 0.0136)的节点。虚线对角线表示身份线y = x(不是回归线),以便于视觉检查复制性——如果结果在队列间可复制,RSA r值应接近此线。玻璃脑显示由IS-RSA值着色的节点。用灰色和黑色描边的节点在家庭和Bonferroni校正后显示出显著的代表性相似性(对应于散点图中的大灰点和黑点)。

总的来说,我们观察到, 不同的特质和行为在不同的大脑区域中最好由不同的距离函数建模。 这些结果引发了几个需要在未来的工作中解决的问题。例如, 哪种模型在其他特质和行为上表现最好?我们能否使用动态分析(Glerean et al., 2012; Simony et al., 2016)来揭示大脑-行为信号最强的特定时间窗口?这些窗口是否与刺激的已知特征相关? 目前,我们可以得出的结论是, IS-RSA 是在自然成像过程中检测大脑-行为关系的一个有前途的框架,选择适当的模型不仅可以提高灵敏度,而且还提供了测试具有根本不同解释的多个假设的灵活性。


6.被试间表征相似性分析:未来方向

6.1. 通过移除公共变量来提升个体信号

我们在这里的目的是使用一个直接的,全脑方法来演示 IS-RSA,而不会带来过于繁重的计算负担。然而,ISC 也可能受到可靠性悖论(Hedge et al., 2018)的影响: 共享响应越强,识别个体差异就越困难。 这在感官区域尤其明显, 高 ISC 值反映出强烈的共享时锁定响应,可能掩盖了个体间的差异。

对于IS-RSA,一个更精细的流程可能会包含额外的处理步骤,以提升个体信号并提高检测大脑-行为关系的能力。例如,在计算IS-RSA之前, 简单地从每个个体的节点数据中回归出群体平均时间序列可能会突显出感兴趣的差异。 另外,刺激特征(例如,亮度,视觉流,声学属性(Lahnakoski等人,2012b))可以作为混淆因素用于回归出大脑信号中强烈的时间锁定组件。

另一种方法是首先通过超对齐(Haxby等人,2011)或共享响应建模(Chen等人,2015)在群体级别估计一组共同的潜在特征,然后基于转换为特征空间的个体受试者数据或在剔除群体方差后的残差计算IS-RSA。 更复杂的技术, 如小波分解或互信息, 可以提取出在个体之间或与刺激之间没有时间锁定的共享信号组件,这在概念上类似于电生理学中的诱发和诱导振荡(Tallon-Baudry和Bertrand,1999)(参见“增加时空复杂性”小节)。所有这些技术都试图将时空信号分解为一组特征,这些特征模拟了受试者响应的共享组件,从而最小化了解剖学或功能拓扑错位的影响,以便强调个体之间的“真实”功能差异。 已经显示出共享响应建模和超对齐可以增加对群体差异(Chen等人,2015)和个体差异(Feilong等人,2018)的敏感性; 未来的工作应该研究这些方法中的一个或多个是否增加了在IS-RSA框架中对大脑-行为关系的敏感性。


6.2. 将 IS-RSA 扩展为预测框架

我们可以轻松地将 IS-RSA 扩展为预测框架 (Bzdok 和 Ioannidis, 2019; Gabrieli 等人, 2015),在这种框架中, 模型被训练为接收在自然刺激期间的大脑活动模式,并为从未见过的个体生成预测的行为评分 (或反之亦然)。在这种情况下,模型的成功也将关键地取决于是否知道大脑-行为关系呈现出 AnnaK 或 NN 类型的结构。

至少对于这里研究的一种行为,AnnaK 模型的成功对于 IS-RSA,以及从大脑特征预测行为的任何方法都有着有趣的含义:它表明成像得出的特征与行为之间的关系可能只在行为范围的一端是线性的(或至少是单调的),而另一端则与增加的变化性有关,但不一定以一致的方向。一个可能的含义是考虑使用径向核进行回归,这些核度量离中心点的距离(而不是线性核,它们度量在一组轴上的绝对位置)。然而, AnnaK 结构确实预测了受试者的行为评分与他们与所有其他受试者的平均(或中位)ISC 值之间存在线性关系, 这是可以在预测分析中利用的事实。

另一方面,最近邻(NN)模型并未预测行为与总体平均或中位ISC值之间的任何关系,而是预测行为与特定伙伴的ISC之间的关系。在这种情况下,非参数方法如k-最近邻将更为合适。 无论哪种情况,都可以应用特征选择来揭示相似性与行为相似性最强烈相关的大脑区域,以提高模型性能。


6.3. 无监督的 IS-RSA

随着我们积累了包含自然主义任务的更大的神经影像数据集,我们可能能够进行无监督分析。换句话说,我们可以聚类受试者间大脑相似性矩阵,以数据驱动的方式检测自然类别或连续体,而不是使用已知的行为分数预先标记数据,然后看看这些是否与现在或未来的行为结果相关(Cerliani等人,2017)。通过这种方式, 我们可能能够利用自然主义神经影像学来按照比当前诊断和自我报告测量更具生物学有效性的轴线来组织个体,可能为如何在微妙的大脑功能中反映个体差异提供新的启示。


6.4. 增加空间时间复杂性

到目前为止, 我们一直在使用受试者间相关性,或者两个受试者的时间序列之间的简单皮尔逊相关性,作为我们的大脑相似性的主要度量,主要是因为它易于计算、可视化和解释。 然而,理论上我们可以根据从单个受试者的神经影像数据中提取的任何类型的信息来计算一个大脑相似性矩阵(参见图 1)。例如,我们可以使用功能连接性(Glerean 等人,2016),或者比较受试者在刺激过程中的时间轨迹,使用低维拓扑嵌入(例如,Gonzalez-Castillo 等人,2019; Saggar 等人,2018),潜在状态发现(Chang 等人,2018),或者使用递归神经网络将其投影到更高阶的空间(Venkatesh 等人,2019)。此外,大脑和行为间的受试者相似性矩阵(参见图 1)也可以被解释为网络,这意味着它们可以使用几何感知方法,如测地距离(Venkatesh 等人,2020)来进行分析。 这些方法不仅仅是大规模单变量测试,用于探索行为如何在单个区域中反映,而是允许将行为与多个区域的多变量活动模式相连接,并可能对于在自然成像期间揭示大脑-行为关系更为强大。


7. 刺激选择:同步性需要多少才足够?

到目前为止,我们已经讨论了如何从分析的角度优化对刺激诱发的个体差异的敏感度。那么从获取的角度呢?尽管自然影像实验越来越受欢迎,但目前还没有一个原则性的方式来选择刺激物。常识是,对于研究共享反应,我们应该选择最能引人投入的刺激物,以"驱动"大脑的尽可能多的部分。的确, 以前的研究已经显示刺激物的特征影响了 ISC 的水平:更有说服力的演讲(Schmälzle 等人,2015),情绪激动的叙述(Nummenmaa 等人,2014)和高评价的电视节目(Dmochowski 等人,2014)都比他们不那么吸引人的对应物引发了更高的同步性。

但是,当研究的目标特别是研究个体差异时,选择刺激物的考虑可能会有所不同。在理论上,一个能在所有主体中引发完美同步的刺激物对于研究个体差异是无用的——因为没有神经可变性可以与行为可变性相关(Hedge 等人,2018)。然而,在实践中,我们离那个理论极限还很远, 因为个体的 BOLD 反应在不感兴趣的可变性(扫描噪声,非神经 BOLD 信号,与刺激无关的神经活动)和由刺激驱动的特异性反应(构成了这里的"信号")方面都是"嘈杂"的。

是否存在一个"甜蜜点", 在这个点上, 刺激产生足够的同步性以构建成功的跨主体模型,但又不足以饱和我们感兴趣的个体信号? 为了测试他们的假设,即社会网络接近性预测了对电影的神经反应越来越相似,Parkinson 等人(2018)选择了可能对不同口味的人有不同吸引力的视频( 理由是朋友更可能有相似的口味,例如,幽默的风格,对争议性话题的看法 )。有几项研究创建了定制的刺激物,这些刺激物的设计含糊不清,这样不同的个体可能对同一材料有不同的解释。Finn 等人(2018)创造了一个叙述,描述了一个复杂的社会情境,对某些人来说看起来非常可疑或邪恶,但对其他人来说则不那么可疑;Nguyen 等人(2018)创造了一个类似 Heider-Simmel 的视频(Heider 和 Simmel,1944),描述了一个动画形状之间的交互,其中形状之间的关系是开放的,可以解释。 这些研究发现,在高级关联皮层的区域,尤其是与社会认知相关的区域,特性级(即内在)或状态级(即刺激驱动)测量上更相似的个体在刺激呈现期间显示了增加的受试者间相关性。

然而,这些研究并未直接评估刺激的模糊程度或所谓的“口味依赖性”如何影响其对于引导出有意义的个体信号的效用。 如果我们的目标是研究特异性反应,那么最佳的同步程度应该是多少呢? 如果我们设想按照刺激引发的ISC强度与其对个体差异的敏感性来绘制刺激,那么会出现几种可能的情况(见图5)。 一种可能性是,强烈的刺激可能会迅速使特异性信号饱和, 因此最佳的刺激在所有受试者中引发的平均相关性只会是最小的,从而为特定受试者对之间的相关性更高或更低留出空间,这取决于行为的变化(情景1)。 另一种可能性是,平均同步的最佳水平可能更高, 这样对个体差异的敏感性就可以从群体层面更强的基础共享反应中受益(情景2)。 还有一种可能性是,理论上的“饱和点”要高得多,这样引发非常强烈反应的刺激就是最敏感于个体差异的刺激 (情景3)。这第三种情况与观察到的情况相一致,即:使得受试者看起来更相似的刺激和任务状态实际上可以提高个体差异的信噪比,因为即使这些状态减少了整体的跨受试者变异, 剩下的变异可能更稳定,更像特征 (Finn等人,2017;Vanderwal等人,2017)。

图 5. 对个体差异敏感性的理论刺激调谐曲线。

在上限情况下,当一个刺激引起的跨受试者同步度接近1时,该刺激对个体差异的敏感性将降低,因为没有剩余的大脑变异性可与行为变异性相关联。 然而,在下限情况下,如果一个刺激在主体之间没有引起相关性,那么在大脑相似性中就没有有意义的结构可以与行为相似性相关联。因此, 最优的调谐曲线可能呈现一个倒U形状。 确定这个曲线在哪里达到峰值——换句话说, 提取特定行为领域内有意义的个体差异的最优同步度 ——应该是未来工作的目标。

理解刺激物选择如何影响对个体差异的敏感性将是未来研究的重要领域,特别是当大规模数据收集工作开始将自然扫描纳入其协议时(Alexander等人,2017年;Van Essen等人,2012年)。我们认为,出于几个原因,应该鼓励进行自然扫描:自然范式产生的数据不仅可以提高主体的依从性(因此提高数据质量),与静息状态扫描相比(Greene等人,2018年;Huijbers等人,2017年;Vanderwal等人,2015年),它们还可以通过各种方式挖掘,扩大其生成对人类神经科学中各种未解问题洞察的潜力。然而,由于刺激物的选择会影响我们观察到的个体信号,我们选择刺激物时应尽可能遵循原则。

当然, 可能没有一个“最佳”的刺激物用于研究个体差异; 相反,最适合的刺激物可能取决于感兴趣的特定行为。例如, 一个威胁或悬疑的刺激物——比如,恐怖电影的开场——可能会显现出与焦虑特征共享结构的神经反应 ,与描述积极情绪的刺激物相比(例如,浪漫喜剧的皆大欢喜的最后一幕)。相反,积极的刺激物可能会产生更好的对无快感症特征的预测。同时, 这两种刺激物可能比一个含有少量或没有情绪内容的中性刺激物对任何特征的预测都要好。 测试这些假设将需要具有各种刺激物和每个受试者的行为测量范围的数据集。然而,已经有一些支持证据:例如, 在观看负面电影片段时,对照组和忧郁症患者之间的差异比在观看积极片段时更为显著 (Guo等人,2015年)。


8. 限制

尽管使用自然范式研究个体差异具有许多明显的优势,我们相信其具有巨大的潜力,但还有一些突出的挑战。首先,这些范式的重测信度不清楚。众所周知,重复会改变神经处理过程,对于引发情绪和令人难忘的刺激,这种情况可能尤其如此。因此,依赖单一刺激的自然范式可能不太适合进行纵向研究, 因为很难分辨出受试者内变化和重复效应。

使用受试者间方法存在计算挑战,因为成对技术意味着观察次数以n²而不是n增加。特别是在受试者间功能连通性(ISFC;Simony等人,2016)的情况下,使用预定义的脑图谱减少维度,和/或根据先验假设或对哪些区域超过一些最小阈值的响应一致性的初步分析选择兴趣区域(参考图5.),可能会在这方面有所帮助。

另一个挑战,尽管不是自然范式特有的, 是理解我们应该针对哪些特征和行为来预测基于表现的或自我报告的分数, 这些分数是在与影像数据本身相近的时间内获取的, 这是当前大部分关于脑-行为关系的文献的目标, 这是一个重要的概念验证,但最终,影像数据总是我们试图预测的任何“实际情况”的噪声版本。最终,目标应该是确定基线脑对自然刺激的反应作为跟踪测量如学习速度(Cantlon和Li,2013),疾病轨迹或对干预的反应的预测因子的价值。


9. 结论

在这里,我们推进了一个研究自然神经影像学中个体差异的新兴框架, 我们称其为“个体同步性”。受试者间表征相似性分析(IS-RSA)结合了刺激的时间锁定性和已知的表型信息,从共享反应转变为个体主体中的活动,这些活动是特异的, 却有结构并且可解释。与依赖于任务明确模型的传统方法不同,受试者间方法有望捕获尽可能多的激发活动的细微差别和变异性。并且,与将自然神经影像学数据类比为静息态功能连通性方法不同, 受试者间方法几乎可以确定观察到的信号既源于神经也受刺激驱动。 除了提高信噪比, 这些范式为将个体大脑活动模式与刺激中的特定事件关联起来,提供了激动人心的机会,这些事件在各种时间尺度上展开,从其低级感官属性到可能引发每个个体不同记忆、联想和情感的高级叙事特性。将自然大脑活动模式与受试者间的特征和状态相关变异性关联起来,将深化我们对个体大脑如何产生个体行为的理解, 并最终可能导致用于现实世界应用的基于影像的工具。


如需原文及补充材料请添加思影科技微信:siyingyxf或18983979082获取,如对思影课程及服务感兴趣也可加此微信号咨询。另思影提供免费文献下载服务,如需要也可添加此微信号入群,原文也会在群里发布,如果我们的解读对您的研究有帮助,请给个转发支持以及右下角点击一下在看,是对思影科技的支持,感谢!

发布于 2023-07-16 20:01 ・IP 属地江苏