添加链接
link之家
链接快照平台
  • 输入网页链接,自动生成快照
  • 标签化管理网页链接

SPSS 用时间序列进行预测分析

预测 :在现时对事物将要发生的结果进行探讨和研究,简单地说就是指 从已知事件测定未知事件

预测的总的原则:认识事物的发展变化规律,利用规律的必然性,是进行科学预测所应遵循的总的原则。这个总原则实际上就是事物发展的

  • 1-“惯性”原则——事物变化发展的延续性;
  • 2-“类推”原则——事物发展的类似性;
  • 3-“相关”原则——事物的变化发展是相互联系的;
  • 4-“概率”原则——事物发展的推断预测结果能以较大概率出现,则结果成立、可用。

什么是时间序列?

时间序列是指将同一统计指标的数值按其发生的时间 先后顺序 排列而成的数列。它是 现实的、真实的 一组 动态 数据,而不是数理统计中做实验得到的。时间序列背后是某一现象的变化规律。

什么是时间序列模型?

  1. 依时间顺序排列起来的一系列观测值(观测值之间 不独立 );
  2. 它考虑的不是变量间的因果关系,而是重点考察变量在时间方面的发展变化规律,并为之建立数学模型;
  3. 使用时间序列模型的前提:有足够长的数据序列(最好是连续的时间维度);数据序列的变动是稳定而规律的;
  4. 另外一种理解方式:假如我们对一件事情研究其背后规律很久的话,可以收集到很多的自变量/影响因素去研究与因变量之间的关系,但是由于各种原因我们做不到,我们只能用一个t(时间)来替代所有的影响因素来研究自变量是如何变化;
  5. 时间序列有一明显的特性就是记忆性(memory),记忆性是指时间数列中的任一观测值的表现皆受到过去观测值影响。

时间序列分析面临的问题

时序应该在现实生活中应用的很广,但是为什么不常用这个模型呢?

  1. 基础统计数据原因(数据收集)
  2. 报表系统——质量问题
  3. 统计口径——不统一
  4. 范围变化、区域划分——变化
  5. 理论和技术培训原因 ,之前没有好的工具来实现时间序列模型

时间序列建模基本步骤

1、用观测、调查、统计、抽样等方法取得被观测系统时间序列动态数据。

2、根据动态数据作相关图,进行相关分析,求自相关函数。相关图能显示出变化的趋势和周期,并能发现跳点和拐点。跳点是指与其他数据不一致的观测值。如果跳点是正确的观测值,在建模时应考虑进去,如果是反常现象,则应把跳点调整到期望值。拐点则是指时间序列从上升趋势突然变为下降趋势的点。如果存在拐点,则在建模时必须用不同的模型去分段拟合该时间序列,例如采用门限回归模型。

3、辨识合适的随机模型,进行曲线拟合,即用通用随机模型去拟合时间序列的观测数据。

  • 对于短的或简单的时间序列,可用趋势模型和季节模型加上误差来进行拟合。
  • 对于平稳时间序列,可用通用ARMA模型(自回归滑动平均模型)及其特殊情况的自回归模型、滑动平均模型或组合-ARMA模型等来进行拟合。当观测值多于50个时一般都采用ARMA模型。
  • 对于非平稳时间序列则要先将观测到的时间序列进行差分运算,化为平稳时间序列,再用适当模型去拟合这个差分序列。

时间序列主要考虑的因素是:

  • 长期趋势

指一种长期的变化趋势。它采取一种全局的视角,不考虑序列局部的波动

时间序列趋势一般为线性的(linear),二次方程式的 (quadratic)或指数函数(exponential function)。

如图,整体呈下降趋势
  • 季节变化(Season)

反映一种周期性的短期波动,一般在一年中完成。

虽然称作“季节”,但是周期并不一定是季度,也可以是月、周等其它能在一年内完成的周期。因为,大多数的周期都以季节的形式出现,所以称作季节变化

比较典型的季节变化例子:圣诞节效应;冷饮的销售情况


  • 周期性变动(Cyclical variation)

指一种较长时间的周期性起伏。一般来说循环时间为2-15年。周期性变动一般会出现波峰和波谷,呈现一种循环往复的现象。 比如:世界经济危机、太阳黑子的周期性变化

  • 不规则变化(error) (随机影响)

指时间序列中无法预计的部分,也可以理解为误差,一般为突发事件导致。在分析中往往又将其称为白噪声,它是时间序列中除去趋势、季节变化和自相关性之后的剩余随机扰动。由于时间序列存在不确定性,随机噪声总是夹杂在时间序列中,致使时间序列表现出某种震荡式的无规律运动。

四种因素通常有两种组合方式:

一、四种因素相互独立,即时间序列是四种因素直接叠加而成的,可用加法模型表示: Y=T+S+C+I

二、四种因素相互影响。即时间序列是四种因素相互综合的结果,可用乘法模型表示:Y=T*S*C*I

其中,原始时间序列值和长期趋势可用绝对数表示;季节变动、循环变动、不规则变动可用相对数(变动百分比)表示。

问:当我们对一个时间序列进行预测时,应该考虑将上述四种因素从时间序列中分解出来,那为什么要分解这四种因素?

  1. 分解之后,能够克服其他因素的影响,仅仅考量一种因素对时间序列的影响
  2. 分解之后,可以分析他们之间的相互作用,以及他们对时间序列的综合影响
  3. 分解之后,序列可以用来建立回归模型,从而提高预测精度

问:所有的时间序列都要分解这四种因素吗?

通常情况下,我们考虑进行季节因素的分解,也就是将季节变动因素从原时间序列中去除,并生成由剩余三种因素构成的序列来满足后续分析需求。

问:为什么只进行季节因素的分解?

答:时间序列中的长期趋势反映了事物发展规律,是重点研究的对象,而循环变动由于周期长,可以看做是长期趋势的反映;不规则变动由于不容易测量,通常也不单独分析。
而且季节变动有时会让预测模型误判其为不规则变动,从而降低模型的预测精度。
综上所述:当一个时间序列具有季节变动特征时,在预测值前会先将季节因素进行分解

从数据分析的角度来考虑,我们需要研究:

  1. 序列是否在固定水平上下变动?
  2. 此水平是否也在变动?
  3. 是否有某种上升或下降的趋势?
  4. 是否存在有季节性的模式?
  5. 是否季节性的模式也在变更?
  6. 是否存在周期性规律和模式?

对于时间序列问题有哪些基本分析思路?

AR/MA/ARMA用于分析 平稳时间序列 ,ARIMA通过差分可以用于处理 非平稳时间序列

  • 指数平滑与季节分解(遇到比较简单的序列)

描述时间序列数据的变化规律和行为,不去试图解释和理解这种变化的原因。例如:您可能发现在过去的一年里,三月和九月都会出现销售的高峰,您可能希望继续保持这样,尽管您不知道为什么。

  • 自回归模型(AR模型)
AR模型利用前期数值与后期数值的相关关系(自相关),建立包含前期数值和后期数值的回归方程,达到预测的目的,因此成为自回归过程。(白噪声可以理解成时间序列数值的随机波动,这些随机波动的总和等于0)
  • 滑动平均(MA)模型
某个时间点的指标数值等于白噪声序列的加权和,如果回归方程中,白噪声只有两项,那么该移动平均过程为2阶移动平均过程MA(2)。比较自回归过程和移动平均过程可知,移动平均过程其实可以作为自回归过程的补充,解决自回归方差中白噪声的求解问题,两者的组合就成为自回归移动平均过程,称为ARMA模型
  • ARMA模型
从回归方程可知,自回归移动平均模型综合了AR和MA两个模型的优势,在ARMA模型中,自回归过程负责量化当前数据与前期数据之间的关系,移动平均过程负责解决随机变动项的求解问题,因此,该模型更为有效和常用
  • ARIMA模型(p,d,q)(P,D,Q)(复合季节模型)

p代表自回归阶数;d代表差分次数;q代表移动平均阶数。p,d,q描述的是移除季节变动成分后的时间序列;大写的P,D,Q描述的是季节变动成分。两个部分是相乘的关系。ARIMA模型描述时间序列数据的变化规律和行为,它允许模型中包含趋势变动、季节变动、循环变动和随机波动等综合因素影响。具有较高的预测精度,可以把握过去数据变动模式,有助于解释预测变动规律,回答为什么这样

时间序列分析对序列的要求

  • 如果是稳定序列的话,历史数据越多,对预测的帮助越大
  • 最好能有连续的序列,缺失极个别的话可考虑用移动平均值或均值等代替
  • 如果存在周期,一般需要4个周期以上;数理上认为应当在20个周期以上,假如只有两三个周期,那周期性的分析就没有太大作用了
  • 不同的序列分析方法对时间序列分析对长度不一样,建模过程一般都会做差分,差分会损失信息,差分得越多,相应要求的时间序列越长

——————————————————————————————————————

推荐大家这本书,豆瓣9.0。也是楼主本人之前入门spss实操的时候学习的书,张老师,不多说,懂的都懂。这本书不会浮于理论,而是带着问题、结合业务案例去实操,读完绝对受益匪浅哦~

——————————————————————————————————

问题描述

美国1947年1月到1969年12月住宅建筑的数据,分析目的是希望能过通过历史数据来预测1970年全年的情况。

1、首先检查有没有缺失数据,一般用临近点的均值或中位数替补

2、在图表构建器中观察销售额随时间变化趋势

在操作之前需要先对数据进行定义日期,让spss知道其为序列数据

定义了时间序列的时间标记后,数据集自动生成四个新的变量:YEAR、QUARTER、MONTH和DATE(时间标签)

接下来:为了帮我们找到适当的模型,最好先绘制时间序列。时间序列的可视化检查通常可以很好地指导并帮助我们进行选择。另外,我们需要弄清以下几点:

  • 此序列是否存在整体趋势?如果是,趋势是显示持续存在还是显示将随时间而消逝?
  • 此序列是否显示季节变化?如果是,那么这种季节的波动是随时间而加剧还是持续稳定存在?
SPSS—序列图

转换:如果选择差分或季节性差分,在旁边的文本框中输入差分度。该数字必须为正整数。当前周期性显示在这些选项下方。这些选项仅对时间序列或类似数据才有意义。

单击时间线以定义时间轴的参考线。

单击格式以定义哪条轴显示时间、图表是线图还是面积图,并在序列平均值处显示参考线。

我们看到:此序列显示整体上升趋势,即序列值随时间而增加。上升趋势似乎将持续,即为线性趋势。此序列还有一个明显的季节特征,即年度高点在十二月。季节变化显示随时间而扩大的趋势,表明是乘法季节模型而不是加法季节模型。

根据长期趋势的发展趋势不同,可以进行差分的次数和方法也不相同,一般的规律如下:

  • 一次差分的时间序列数值大体相同,配合直线趋势;
  • 二次差分的时间序列数值大体相同,配合二次曲线
  • 对数的一次差分的时间序列数值大体相同,配合指数曲线
  • 一次差分的环比值大体相同,配合修正指数曲线
  • 对数一次差分的环比值大体相同,配合Gompertz曲线
  • 倒数一次差分的环比值大体相同,配合Logistic曲线



发现序列变平了,但是随着时间增加季节变换还是存在的。季节差分(把周期性也去掉看看)


看到上面的序列,无长期趋势、无季节变换,可认为是一个比较平稳的序列了。但是刚才上面在做一次差分后的序列,可以看出其序列随着时间增长离散程度会慢慢变大,后续分析可以考虑这一点,可以做变量变换。

时间序列趋势的图形化观察

1.序列图。实际上就是一种特殊的线图

2.自相关和偏相关图。对序列图的初步观察结果作进一步确认(检验其是不是白噪声序列),重点关心主要的相关趋势,然后再对模型进一步修正

刚才我们做了一次的差分和季节差分真的为平稳序列了吗?用自相关图看看

显示偏自相关要求 方程式系统解的大小随延迟数增加而增加。注意偏自相关要求达到较高的延迟数(超过 24)。

单击选项以设置最大延迟数或计算标准误差的方法,或仅在季节性延迟位置显示自相关。

滞后n阶:隔了n个数据的自相关性;Sig<0.05,证明时间序列存在自相关,不都是白噪声
为了方便查看,给出了图,1到5阶都是存在统计学意义的
自相关系数是有传递性的问题在里面的,spss就会计算偏自相关系数,屏蔽传递的效应后,看剩余的关联是否还存在。

自相关拖尾,偏自相关也拖尾,根据自回归系数和偏回归系数选择合适的模型

检查模型残差的自相关函数 (ACF) 和偏自相关函数 (PACF) 的值 比 只查看拟合优度统计量能更多地从量化角度来了解模型。合理指定的时间模型将捕获所有非随机的变异,其中包括季节性、趋势、循环周期以及其他重要的因素。这两个自相关函数中的显著结构都可以表明基础模型不完整。

但实际上,spss会提供一个自动分析的方法。模型拟合几乎均可包含在ARIMA模型族中,寻找适当的参数是一个反复尝试的过程。

生成 ARIMA 模型的基本步骤:

对序列绘图,进行 ADF 检验,观察序列是否平稳;对于非平稳时间序列要先进行 d 阶差分,转化为平稳时间序列;

经过第一步处理,已经得到平稳时间序列。要对平稳时间序列分别求得其自相关系数(ACF)和偏自相关系数(PACF),通过对自相关图和偏自相关图的分析,得到最佳的阶数p、q;

由以上得到的d、q、p ,得到 ARIMA 模型。然后开始对得到的模型进行模型检验。

打开分析——预测——周期性分解,进行季节因素分解,并观察数据季节性变化趋势。

为了揭示真实趋势,由于季节性影响,首先需要考虑资料中的变异。可使用“周期性分解”过程来删除任何系统性的季节性变化。然后对季节性调整序列执行趋势分析。

模型类型:提供两种方法来对周期性因素进行建模:乘法或加法。 如果数据随时间季节波动基本维持恒定,使用加法模型,如果数据趋势随时间波动越来越大,则使用乘法模型

移动平均值权重:允许指定在计算移动平均数时如何处理序列。这些选项仅在序列的周期性为偶数时才可用。如果周期性为奇数,则所有点的权重都相等。

确定会生成四个变量
序列图。将除了季节外的因素放入变量中进行对比

上面我们对时间序列的特征有了大致的了解,便可以开始尝试构建预测模型。

提供了三大类预测方法:1-专家建模器,2-指数平滑法,3-ARIMA

  • 指数平滑法

指数平滑法有助于预测存在趋势和/或季节的序列,此处数据同时体现上述两种特征。创建最适当的指数平滑模型包括确定模型类型(此模型是否需要包含趋势和/或季节),然后获取最适合选定模型的参数。

1-简单模型预测(即无趋势也无季节)

首先我们采用最为简单的建模方法,就是简单模型,这里我们不断尝试的目的是让大家熟悉各种预测模型,了解模型在什么时候不适合数据,这是成功构建模型的基本技巧

从图中我们看到,虽然简单模型确实显示了渐进的上升趋势,但并不是我们期望的结果,既没有考虑季节性变化,也没有周期性呈现,直观的讲基本上与线性预测没有差异。所以我们拒绝此模型。

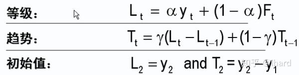
2-Holt线性趋势预测

Holt线性指数平滑法,一般选择:针对等级的平滑系数lapha=0.1,针对趋势的平滑系数gamma=0.2;

从上面的拟合情况看,Holt预测模型更平滑了,也就是说Holt模型比简单模型显现了更强的平滑趋势,但未考虑季节因素,还是不理想,所以还应放弃此模型。

3-简单季节性模型

当我们考虑了季节性变化后,简单季节性预测模型基本上较好的拟合了数据的大趋势,也就是考虑了趋势和季节。

4-Winters相乘法预测模型

数据集的时间跨度为10年,并且包含 10 个季节峰值(出现在每年十二月份)中,简单季节模型和Winters模型都捕捉到了这10个峰值与实际数据中的10个年度峰值完全匹配的预测结果。此时,我们基本上可以得到了一个比较满意的预测结果。

此时也说明,无论采用指数平滑的什么模型,只要考虑了季节因素,都可以得到较好结果,不同的季节性指数平滑方法只是细微差异了。但是,我们仔细看预测值和拟合值,还是有一些上升和下降的趋势和结构没有捕捉到。预测还有改进的空间!

5-ARIMA预测模型

ARIMA 模型是自回归AR和移动平均MA加上差分考虑,与前面介绍的时间序列分解模型不同,它从时间序列数值本身的相关性出发,力求建立回归模型,这样不仅能够充分利用时间序列数值变化信息,而且能够便捷的将其它影响因素纳入模型进行考虑,这是更为精细的时间序列分析方法。

我们采用专家建模器,但指定仅限ARIMA模型,并考虑季节性因素。

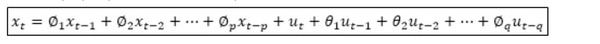
这里的差分自回归移动平均模型包括六个参数:ARIMA(p,d,q)(P,D,Q)。小写的p,d,q代表不包含季节变动成分的ARIMA模型结果,大写的是包含季节变动成分的模型结果。p和P代表自回归过程的阶数;d和D代表差分次数;q和Q代表移动平均过程阶数。

补充:

对话框的"离群值"选项卡部分主要用于对离群值进行设定,有3种方式:

①不检测离群值或为其建模 表示不检测离群值或为其建模,该选项为默认选项。

②自动检测离群值 表示要自动检测离群值,并选择检测离群值类型。在"要检测的离群值类型"中选择检测类型,有以下几个可选择的项。

加法:表示自动检测单个观测记录的异常值。

移位水平:表示自动检测数据水平移动引起的异常值。

创新的:表示自动检测由噪声冲击引起的异常值。

瞬时的:表示自动检测对其后观测值影响按指数衰减至0的异常值。

季节性可加的:表示自动检测周期性的影响某固定时刻的异常值,如月度数据的一月效应。

局部趋势:表示自动检测导致局部线性趋势的异常值,往往该异常值以后的数据呈线性趋势。

可加的修补:表示自动检测两个以上连续出现的"加法"异常值。


因为本案例的时间序列是包含季节变动成分的,所以看后面括号的结果。可以发现时间序列经过一次差分,移动平均过程阶数为1。

解读:Sig值越大越好,平稳得R方也是越大越好
  • 平稳的R方:决定系数,现有模型所能够解释的原变量的多少变异(较客观)。该值越高(最大值为 1.0),则模型拟合会越好。
  • R方:原数据去掉季节趋势,波动趋势,周期趋势之后的变异解释度(较乐观,偏高)
  • RMSE(残差均方)
  • MAPE(相对误差)
  • MAXAPE(最大值相对误差)
  • MAE(绝对误差)
  • MAXAE(最大值绝对误差)
  • 正态化BIC(比较专业化的指标)
Sig.列给出了 Ljung-Box 统计量的显著性值,该检验是对模型中残差错误的随机检验;表示指定的模型是否可靠。显著性值小于0.05 表示残差误差不是随机的,p值越大表示数据是随机的可能性越大。(SIG>0.05,说明残差序列通过了白噪声检验,则建模就可以终止,因为没有信息可以继续提取)
此时,我们看到模型拟合并相比较简单季节性和Winters模型没有太大的优势,结果可接受

方法选择ARIMA试试

将模型的p,d,q都设置成1,1,1,然后继续。p、d、q的值是根据前面的前期分析得到,由于专家建模器可以帮助我们自动计算最佳的值,所以实际应用中专家建模器可能应用的更多
在“Statistics”中,按照图上所示,“拟合变量”选择“平稳的R方”,“R方”,“比较模拟”中选择“拟合优度”,“个别模型统计中”选择“参数估计”。
在“图”选项中,选择“序列”,“残差自相关函数”,“残差部分自相关函数”等选项,如图所示。
在“保存”选项中,全部勾选。(这一步可以不要)由于SPSS的一个小BUG,变量名前缀要修改一下,不能是中文。

输出结果

R的平方达到0.961,拟合程度很好,AR,MA的系数分别是0.787和0.664,显著性水平都小于0.01,因此系数都显著不为0
再看残差的ACF和PACF图,可以看到都是平稳的,因此ARIMA(1,1,1)是合理的。寻找适当的参数是一个反复尝试的过程

参数的确定:

  • 对序列绘图,进行 ADF 检验,观察序列是否平稳;
  • 对于非平稳时间序列要先进行 d 阶差分,转化为平稳时间序列;
  • 经过第一步处理,已经得到平稳时间序列。要对平稳时间序列分别求得其自相关系数(ACF)和偏自相关系数(PACF),通过对自相关图和偏自相关图的分析,得到最佳的阶数p、q;

由以上得到的d、q、p ,得到 ARIMA 模型。然后开始对得到的模型进行模型检验。


根据模型预测未来销售额

假如要预测此超市未来12个月的销售额,首先在时间序列建模器的保存选项中将'预测值'和置信区间打钩(置信度95%),导出模型文件这里可以保存预测模型,如图

打开建模器—选项,填写预测最后终止日期

然后就可以在主界面看到预测数据及2016年的每月销售额,以及预测模型,如图

实际使用中如何确定未来这些预测变量的值呢?

主要方法可以考虑:1)选择最末期数据;2)选择近三期数据的平均;3)选择近三期的移动平均

这里我们选近三期移动平均作为预测自变量数值。

预测值的效果检验

对比一下原始序列和预测值效果,将原始序列和预测值及置信区间变量放入选项框内

拟合的还不错,假如我们未来一段时间的真实数据了,也可以对比一下模型预测及真实数据差别

上面的分析都没有考虑其他干扰因素的影响,如果我们考虑时间序列预测包含有预测和干扰变量该如何解决。下面的数据延续前面的案例,只是增加了自变量

我们增加了5个自变量后,采用预测建模方法,选择专家建模器,但限制只在ARIMA模型中选择。
从预测值看,比前一模型有了改进,至少这时候的模型捕捉了历史数据中的下降峰值,这可以认为是当前比较适合的拟合值了。如果我们观察预测结果,可以发现模型选择了两个预测变量。

注意:使用专家建模器时,只有在自变量与因变量之间具有统计显著性关系时才会包括自变量。如果选择ARIMA模型,“变量”选项卡上指定的所有自变量(预测变量)都包括在该模型中,这点与使用专家建模器相反。